Dos variantes del modelo SEIR para describir la Covid-19


Two variants of the SEIR model to describe the Covid-19


Raúl IseaORCID logo1

Fundación IDEA, Baruta, Venezuela1

raul.isea@gmail.com1

Fecha de recepción: 27/03/2022

Fecha de aceptación: 25/05/2022

Pág: 18 - 33

Resumen

Se plantean dos variantes del tipo compartimental basadas en un esquema del tipo Susceptible-Expuesto-Infectado-Recuperado (SEIR) para describir la dinámica de contagio por la Covid-19 en Venezuela. Se analizan dichas variantes tanto analítica como numéricamente. Las dos variantes planteadas en el trabajo reproducen el registro de casos infectados en Venezuela a diferencia del modelo tradicional.
Palabras clave: covid-19, dinámica de contagio, SARS-CoV-2, SEIR, Venezuela.



Abstract

Two variants are proposed based on a scheme of the type Susceptible-Exposed-Infected-Recovered (SEIR) to describe the dynamics spread of Covid-19 in Venezuela. These models are analyzed both analytically and numerically. The two variants proposed in the work reproduce the cumulative number of confirmed cases in Venezuela.
Key words: covid-19, dinámica de contagio, SARS-CoV-2, SEIR, Venezuela.



Esta obra está bajo licencia CC BY-NC-SA 4.0

Introducción


Un síndrome grave respiratorio de etiología desconocida proveniente en Wuhan (provincia de Hubei) en China fue notificada a la Organización Mundial de la Salud (OMS) en diciembre de 2019, y posteriormente se indicó que es un β-Coronavirus tras secuenciarlo los primeros días de enero de 2020 (Chen et al., 2020). Originalmente lo denominaron 2019-nCoV, pero transcurrido un mes se rebautizó como Síndrome Respiratorio Agudo Severo del tipo 2 (conocido mejor por sus siglas en inglés como SARS-CoV-2), y la enfermedad trasmitida es denominada Covid-19.

La OMS lo declarará un problema de emergencia en salud pública internacional a poco más de un mes de ser notificada (30 de enero de 2020) por el incremento exponencial de casos, hasta que el 11 de marzo es una pandemia (Biao y Xia, 2020). Hasta la fecha se han contagiado 488.405.398 millones de personas y superan los 6 millones de muertos de acuerdo al registro realizado por la Universidad Johns Hopkins hasta el 31 de marzo de 2022.

Recordemos que la Covid-19 es el tercer episodio de contagio por Coronavirus que afronta la humanidad. El primer incidente fue conocido como SARS-CoV-1, originándose en la provincia de Cantón en China donde se confirmaron más de ocho mil casos con un poco menos de ochocientos fallecidos en 2002 (afectando 29 países hasta enero de 2004) (Chen et al., 2006). El segundo episodio comenzó en junio de 2012 en Arabia Saudita, razón por la cual fue nombrado MERS-CoV (siglas que significan Middle East Respiratory Syndrome) llegándose a contabilizar 2.494 casos en 27 países hasta noviembre de 2018 (Cotten et al., 2013).

De hecho, todos los continentes han notificado incidentes por esta enfermedad, incluyendo la Antártida cuando comunicó un brote en el centro de investigación chileno ubicado en la base General Bernardo O'Higgins el 21 de diciembre de 2020 (Frame y Hemmings, 2020).

Tras observar los incidentes registrados en el mundo, se aprecia que no existe una distribución uniforme de los casos por la Covid-19, y para visualizar este último comentario, a modo de ejemplo, consideremos los casos notificados en Venezuela y China hasta el 31 de marzo de 2022. En Venezuela se han registrado 520.373 casos, mientras que en China se contabilizaron 227.998 de acuerdo a los registros de la Universidad John Hopkins.

Tras visualizar los brotes epidémicos acontecidos en ambos países con ayuda del cálculo de la mantisa, se aprecia cuán contagioso fueron los brotes iniciales en ambos países, y sobre todo, la duración de los mismos que se van incrementando con el tiempo (detalles en Isea(2020a); Isea(2020b); Isea(2020c); Isea(2022)). Recordemos que el cálculo de la mantisa solo requiere el registro diario de casos por la Covid-19. Más aún, reciente se puntualizó que dicho cálculo se puede asociar como una tasa de infección dando una idea general de la severidad y durabilidad en dichos brotes epidémicos.

Por lo que es necesario desarrollar modelos matemáticos que nos permitan monitorear, predecir y sobre todo, diseñar políticas públicas que permitan controlar y finalmente erradicar la Covid-19 en el mundo. En tal sentido, se han desarrollado múltiples modelos matemáticos (algunos ejemplos Ahmad et al.(2020); Isea y Lonngren(2015); Isea(2020d); Isea2020(2020e). Sin embargo, la mayoría de ellos se centran en particularizar la dinámica de contagio en países puntuales. Por ello, se desarrolla y se analiza tanto analítica como numéricamente dos variantes basadas en un modelo compartimental del tipo Susceptible-Expuesto-Infectado-Recuperado (abreviado como SEIR) que se validará originalmente con el registro de los casos acumulados en Venezuela, y en un futuro inmediato, se analizaran en el mundo gracias al diseño e implementación de flujos de trabajo bajo la filosofía de computación Grid (Isea et al. (2009), Isea et al. (2015)).

Figura 1: Cálculo de la mantisa (naranja) y el registro acumulado diario de los casos por Covid-19 (azul) desde el primer incidente registrado ocurrido en (a) Venezuela y (b) China

Fuente: detalles de los cálculos en Isea et al. (2009); Isea et al. (2015).


Modelos matemáticos


Las dos variantes que se proponen en el trabajo están basadas en el modelo del tipo Susceptible- Expuesto-Infectado-Recuperado (Piccirillo, 2021). Recordemos que este modelo consta de cuatro compartimientos dónde la población (generalmente abreviado como N) se divide de la siguiente manera:

  • S(t) representa la población susceptible que puede contraer la enfermedad.
  • E(t) corresponde con la población expuesta al cirus, pero aún no están infectadas por Covid-19.
  • I(t) son las personas que están infectadas por el virus, y finalmente,
  • R(t) aquellas que se han recuperado del contagio.
  • Este modelo está basado en las siguientes suposiciones:
  • La población permanece constante en el tiempo y es igual a N = S(t) + E(t) + I(t) + R(t).
  • Existe una mezcla homogénea de la población, y todos se enferman al mismo tiempo.
  • La población susceptible a contraer la enfermedad decrece monótonamente en el tiempo.
  • No existe distinción entre las personas infectadas que presentan o no síntomas.
  • La tasa de mortalidad es la misma para toda la población, independientemente de la edad. Asimismo, se considera un valor fijo de la tasa media de fallecidos en el modelo.
  • Todas las personas están expuestas inmediatamente al virus, y no existe inmunidad innata.
  • Todas las personas se recuperan en el mismo período de tiempo.
  • No se considera la propagación del virus en el medio ambiente.
  • Las personas recuperadas no pueden volverse a contagiar por la Covid-19.

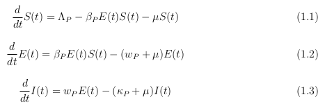
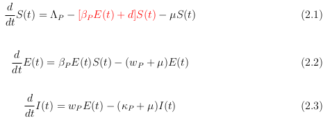
Por lo dicho anteriormente, las cuatro ecuaciones diferenciales que describen la dinámica de contagio por la Covid-19 son las siguientes:

donde las constantes se definen más adelante.

En la figura 2 se visualiza el diagrama donde se observa el modelo clásico que describe la propagación de la Covid-19, donde ΛP y μ son las tasas de nacimientos y de fallecidos, respectivamente (más adelante se indican más detalles en la definición de los parámetros descritos en la figura).

Figura 2: Esquema del modelo clásico SEIR que describe la dinámica de contagio por la Covid-19.

Fuente: Elaboración propia.


En vista que el modelo considera que las personas no pueden volverse a contagiar, y teniendo presente que R(t)= N-I(t)-S(t)-E(t), es posible reducir el sistema a solo tres ecuaciones diferenciales descritas de la siguiente manera (este modelo será denominado el modelo Clásico):


donde ΛP representa tanto la tasa de nacimientos como de migración, por lo que dicho valor se debe obtener a partir del registro de casos de un país tras un ajuste por mínimos cuadrados. El valor βP es la tasa de contagios por contacto, y el mismo se debe calcular para cada país. El valor μ es la tasa de muerte natural, el cual es un valor fijo en todos los países, igual a 0,01667 (correspondiente a una vida media de 60 años). Aquí ωP es la tasa de contagios provenientes de las personas expuestas, mientras que κP es la tasa proveniente de las personas infectadas (ambas constantes deben determinarse por ajustes de mínimos cuadrados). Todas las constantes indicadas deben ser positivas.

En vista de ello, se proponen y se analizan dos variantes de este modelo. La primera se denominará Variante 1, donde se considera un factor de corrección para describir la población expuesta que será directamente proporcional a la tasa de contagio βP , mientras que la segunda variante (llamada Variante 2) considera además dos tasas diferentes para cuantificar las personas infectadas provenientes del grupo expuesto y el de las personas infectadas, como se explicará en la próxima sección.

Variante 1
Esta variante considera una perturbación puntual (cuantificada con la letra d) en la proporción de personas expuestas al virus, y además se contabiliza de la siguiente manera:


Donde se ha resaltado en color rojo las diferencias con el modelo tradicional para su fácil identificación.

Variante 2
Considera la misma modificación anterior, y adicionalmente toma en cuenta que las tasas de contagios provenientes de la población expuesta e infectadas son diferentes entre sí, es decir:


Curiosamente, al realizar una búsqueda de los modelos matemáticos publicados en la literatura científica, una vez terminado los cálculos en el presente trabajo, se encontró un modelo publicado por Youssef et al. (2020) similar a la segunda variante sin explicar las razones del mismo.

En la próxima sección se realizan los análisis de los modelos matemáticos para determinar las condiciones de equilibrio, y posteriormente se realizará un estudio numérico para corroborar los mismos, empleando para ello, los registros de los casos acontecidos en Venezuela desde el 28 de enero de 2022 hasta el 10 de abril de 2022.

Análisis matemático


El primer paso es determinar los puntos de equilibrio o puntos críticos (abreviado como PC). Este procedimiento ha sido descrito en anteriores trabajos publicados en la literatura científica (Isea y Lonngren, (2013a); Isea y Lonngren, (2013b); Isea y Mayo-García, (2013); Isea y Lonngren, (2015); Isea, (2018)), donde se hace cero cada una de las expresiones de las ecuaciones diferenciales, razón por la cual las coordenadas suelen representarse con un asterisco para su fácil identificación (S*, E*, I*).

Es necesario definir una nomenclatura para identificar los resultados y evitar confusiones con los resultados, tal que se utilizará un superíndice para indicar el modelo que se estudia, es decir, 1, 2 y 3 correspondientes al modelo Clásico SEIR, y las dos variantes etiquetadas como 1 y 2, respectivamente; mientras que las distintas soluciones encontradas en cada modelo se enumeran con un subíndice. Por ejemplo, PC21 corresponde al segundo punto crítico obtenido en el primer modelo.

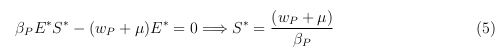
A modo de ejemplo, se calculan los puntos de equilibrio de la Variante 2, y dicho procedimiento es idéntico al resto de los modelos. Para ello, es necesario igualar a cero las ecuaciones diferenciales, de manera que tenemos:

donde se ha suprimido la dependencia del tiempo por comodidad en el manejo de las ecuaciones.

El primer punto de equilibrio se determina cuando no hay casos infectados (I* = 0), conocido como el punto de equilibrio libre de enfermedad, mientras que el segundo punto ocurre cuando circula el virus (I* = 0), razón por la cual es denominado punto endémico.

En el caso que I* = 0, es decir, no está presente el virus en la población, entonces tampoco puede existir alguna persona expuesta al virus, y por ende E* = 0. Solo resta deducir la expresión para S* la cual se obtiene de la ecuación (3.1), tal que:

Por lo que:

El punto de equilibro endémico, es decir cuando I* = 0, implica que deben existir personas que estarán expuestas al virus, de manera que partimos de la ecuación (3.3) e igualamos a cero la misma, obteniendo:

En paralelo, cuando se hace cero la ecuación (3.2), se obtiene una expresión para S*:

Al reemplazar las ecuaciones (4) y (5) en la ecuación (3.1), e igualando a cero, obtenemos lo siguiente:

Tras realizar algunas manipulaciones algebraicas, se deduce la expresión para I*, obtenido:

Por lo que:

En la Tabla 1 se indican todos los valores obtenidos de los puntos de equilibrio en los tres modelos estudiados en el trabajo.

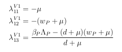
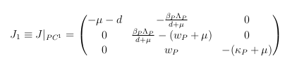
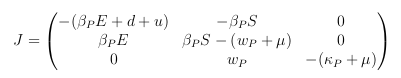
El próximo paso es calcular los autovalores que nos permitirán conocer las condiciones de equilibrio en dichos puntos de equilibrio, es decir, sí es o no estable. Para realizar ello, es necesario calcular la matriz Jacobiana (J) para cada modelo, y evaluarlo posteriormente en dicha posición. La matriz Jacobiana evaluada en el PC1 se identifica como J1, mientras que para el segundo punto se representa como J2.

A modo de ejemplo, la matriz Jacobiana de la Variante 1 es igual a:

Al evaluar la matriz J en el primer punto crítico obtenido en la Variante 1 (ver Tabla 2) se obtiene:

El resto de los resultados están indicados en la Tabla 2.

A partir de dicho cálculo es posible determinar la ecuación característica la cual se van a derivar las expresiones analíticas de los autovalores para cada uno de los modelos, y dichos resultados se indican en la Tabla 3.

Finalmente, al igualar a cero cada una de las ecuaciones indicadas en la tabla 3, es fácil obtener las expresiones de los autovalores, es decir:

Autovalores del modelo clásico

Se derivan tres expresiones de los autovalores tras una simple inspección en la tabla 4. Los autovalores para el primer punto crítico son:

Los dos primeros autovalores no dan información relevante. El último valor, λ131, nos permite deducir una condición de equilibrio que se alcanza cuando βP ΛP < μ (ωP + μ), para que dicho término sea negativo.

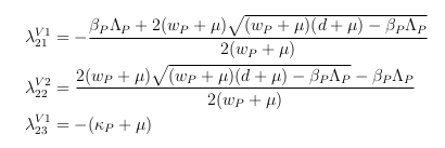
Los autovalores para el segundo punto crítico son:

donde el primer autovalor no da información relevante. En vista de la presencia de raíces, es posible que las soluciones sean números complejos.

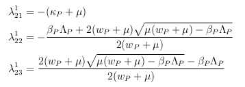
Autovalores de la variante 1

Reproduciendo el mismo procedimiento descrito anterior, tenemos tres diferentes autovalores tales que anulan la ecuación característica para el primer punto crítico:

Para que este valor sea estable, se debería cumplir que (d+μ)(ωP + μ) > βP ΛP, mientras que los dos primeros autovalores no aportan nada de información.

Los autovalores para el segundo punto crítico son:

El último autovalor siempre será negativo, y por ende no aporta información relevante.

Autovalores de la variante 2

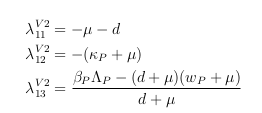
Finalmente, las expresiones analíticas de los autovalores de la variante 2 son los siguientes:

Para el primer punto crítico:

Para que este valor sea estable, se debería cumplir que (d+μ)(ωP + μ) > βP ΛP, mientras que los dos primeros autovalores no aportan nada de información.

Los autovalores para el segundo punto crítico son:

El último autovalor siempre será negativo, y por ende no aporta información relevante.

Cálculos numéricos

Se procedió a realizar un ajuste por mínimos cuadrados para determinar los valores de los parámetros empleados en los tres modelos matemáticos descritos en el presente trabajo, tal que los ajustes se realizan con el mismo conjunto de casos acontecidos en Venezuela.

Recordemos que el ajuste por mínimos cuadrados se realiza cuando se minimiza una función definida como χ, donde se calculan las diferencias de los valores obtenidos de los resultados derivados del modelo matemático, simbolizado como f(xn), con respecto a los datos registrados por la Covid-19, y dichos datos son abreviados como yn; es decir, se minimiza la siguiente función (Virtanen et al., 2020):

donde $n$ es el número de valores observados que se van a ajustar con el modelo. Para ello, se realizó un programa escrito en Python para minimizar la expresión de χ empleando para ello las librerías desarrolladas en SciPy (Rokem 2018, Virtanen et al., 2020), tal que la función χ debería ser menor o igual a 10-7, que nos indica la calidad del ajuste realizado.

En la Tabla 4 se indican los distintos valores de los parámetros obtenidos del sistema de ecuaciones, y a partir de ellos se evaluaran las posiciones de equilibrio. Es de esperar que las posiciones críticas sean similares, pero ello no ocurre como se aprecia en la Tabla 5.

De la Tabla 5 se observa que los autovalores obtenidos para el primer punto crítico son todos ellos inestables. Para el segundo punto crítico es estable el sistema como se evidencia en las dos variantes, con excepción del modelo Clásico, cuya solución es un número complejo (solo se indica la parte real).

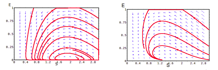
Finalmente, la figura 3 se muestra el campo de direcciones y algunas curvas isóclinas donde se observan las soluciones de dicho sistema de ecuaciones tras los datos obtenidos en la Tabla 4, tanto para el modelo Clásico (A), así como la Variante 2 (B). Dicha figura se comprueba efectivamente que los valores obtenidos en el primer caso es una espiral en vista que la solución es compleja, mientras que la Variante 2 es un punto de equilibrio estable, cuando se visualiza la trayectoria en color rojo.

Figura 3: El campo de direcciones y algunas curvas isóclinas para (A) el modelo clásico y el obtenido con (B) la Variante 2.

Fuente: Elaboración propia


Conclusiones

El presente trabajo presenta dos variantes del tipo Susceptible-Expuesto-Infectado-Recuperado (SEIR). Se analizaron tanto analítica como numéricamente de acuerdo al registro de los casos por la Covid-19 en un mismo país. Como se aprecia en los resultados, las dos variantes poseen un excelente ajuste en los resultados (R2 superior al 98%). Solo resta realizar estudios de análisis de sensibilidad para determinar la dependencia de los parámetros en los modelos descritos en el trabajo, antes de realizar un estudio que valide el modelo con el resto de los países del mundo.

Conflicto de intereses

El autor no indica conflicto de intereses.

Agradecimientos

El autor agradece los comentarios de los revisores de la revista. Asimismo, a Jesús Isea por la paciencia en leer y traducir el documento a LaTeX.

Referencias

Ahmad, Z; Arif, M; Ali, F; Khan, I and Nissar KS (2020). A report on Covid-19 in Pakistan using SEIR fractional model. Scientific Reports, 10, 22268. Doi.org/10.1038/s41598-020-79405-9

Biao, T., y Xia, W. (2020). Estimation of the transmission risk of the 2019-nCoV and its implication for public health interventions. J. Clin Med. 9(2), 462.
Doi: 10.3390/jcm9020462

Chen, L., Liu, W., Zhang, Q., Xu, K., Ye, G., Wu, W., Sun, Z., Liu, F., Wu, K., Zhong, B., Mei, Y., Zhang, W., Chen, Y., Li, Y., Shi, M., Lan, K., Liu, L. (2020A). RNA based mNGS approach identifies a novel human coronavirus from two individual pneumonia cases in 2019 Wuhan outbreak. Emerg Microbes Infect. 9(1),313-319. Doi: 10.1080/22221751.2020.1725399. eCollection 2020

Chen, S., Luo, H., Chen, L., Chen, J., Shen, J., Zhu, W., Chen, K., Shen, X y Jiang. H. (2006). An overall picture of SARS-CoV genome – encoded major proteins: stuctures, functions and drug development. Curr. Phar, Des., 12(35), 4539-4553. Doi: 10.2174/138161206779010459

Cotten, M., Watson, S, and Memish Z. A. (2013). Transmission and evolution of the Middle East respiratory síndrome coronavirus in Saudi Arabia: a descriptive genomic study. Lancet, 383(9909), 1993-2002. Doi: 10.1016/S0140-6736(13)61887-5

Frame, B., y Hemmings, A. D. (2020). Coronavirus at the end of the world: Antarctica matters. Social Sciences & Humanities Open. 2(1), 100054 Doi.org/10.1016/j.ssaho.2020.100054

Isea, R. (2018) Analytical solutions for the initial steps of the intracelular dynamics of influenza a virus. Acta Scientific Microbiology, 1(6),6-8. Disponible en https://hal.archives-ouvertes.fr/hal-03521013

Isea, R. (2020a) A quick look at the registerede casos of Covid-19 througout the world. International Journal of Coronavris, Vol 1(3), 16-21. Doi 10.14302/issn.2692-1537.ijcv-20-3453

Isea, R. (2020b). A new graph to display the epidemic outbreak of Covid-19 in the World. International Journal of Coronavirus, 1(4), 1-3. Disponible en https://hal.archives-ouvertes.fr/hal-03519470

Isea, R (2020c). Characterizing the transmission dynamics of the cases registered by Covid-19 in Venezuela according to epidemic wave and the value of the Mantissa. International Journal of Coronavirus, 2(2), 8-12. Doi 10.14302/issn.2692-1537.ijcv-20-3635

Isea, R (2020d). La dinámica de transmisión del Covid-2019 desde una perspectiva matemática. Revista Observador del Conocimiento, Vol 5(1): 13-19. Disponible en https://cvraulisea.files.wordpress.com/2020/05/isea-4.pdf

Isea, R (2020e). Simulando la dinámica de transmisión de pacientes coinfectados con la Covid-19 y dengue. Revista Observador del Conocimiento, 5(3), 26-32. Disponible en http://www.oncti.gob.ve/ojs/index.php/rev_ODC/article/view/75

Isea, R. (2022) What Could Represent the Mantissa of the Registered Covid-19 Cases? International Journal of Coronavirus, 3(2), 1-6. Doi /10.14302/issn.2692-1537.ijcv-22-4108

Isea, R., y Lonngren, K. E. (2013a) On the mathematical interpretation of epidemics by Kermack and McKendrick, General Mathematics Notes (GMN), 19(2), 83-87. Disponible en https://www.emis.de/journals/GMN/yahoo_site_admin/assets/docs/6_GMN-3602-V19N2.32210220.pdf

Isea, R., y Lonngren, K. E. (2013b). Epidemic modeling using data from the 2001-2002 measles outbreak in Venezuela. Research – Reviews in BioSciences, 7(1), 15-18. Disponible en https://hal.archives-ouvertes.fr/hal-03521072/document

Isea, R., y Lonngren, K. E. (2015) Mathematical analysis of the spreading of a rumor among different subgroups of spreaders. Pure and Applied mathematical letters, An international Journal. 2015, 50 Disponible en https://arxiv.org/pdf/1607.05771.pdf

Isea, R., y Mayo-Garcia, R. (2013) Analysis of an SEIR-SEI four strain epidemic denguemodel with primary and secondary infections. Revista Electronica Conocimiento Libre y Licenciamiento (CLIC), 7(5), 3. Disponible en https://convite.cenditel.gob.ve/revistaclic/index.php/revistaclic/article/view/528

Isea, R., Montes, E., Rubio-Montero, A.J., Mayo, R. (2009). Computational Challenges on Grid Computing for Workflows Applied to Phylogeny. In: , et al. Distributed Computing, Artificial Intelligence, Bioinformatics, Soft Computing, and Ambient Assisted Living. IWANN 2009. Lecture Notes in Computer Science, vol 5518. Springer, Berlin, Heidelberg. Doi.org/10.1007/978-3-642-02481-8_171

Isea, R., Montes, E., Rubio-Montero, A. J.,y Mayo-Garcia, R. (2015) Challenges and characterization of a biological system on Grid by means of the PhyloGrid application. ArXiv: 1502.06564. Disponible en https://arxiv.org/abs/1502.06564

Piccirillo, V. (2021). Nonlinear control of infection spread based on a deterministic SEIR model. Chaos, Solitons & Fractals, 149, 111051. Doi.org/10.1016/j.chaos.2021.111051

Rokem, A. (2018) A short course about fiting models with with thw scipy.ptimize module. Journal of Open Source Education, 1(2), 16. Disponible en https://www.theoj.org/jose-papers/jose.00016/10.21105.jose.00016.pdf

Virtanen, P., Gommers, R., Oliphant, T.E., Haberland, M., Reddy, T., Cournapeau, D., Burovski, E., Peterson, P., Weckesser, W., Bright, J., van der Walt, S. J., Brett, M., Wilson, J., Millman, K.J., Mayorov, N., Nelson, A.R.J., Jones,E., et al (2020). SciPy 1.0: fundamental algoriths for scientific computing in Python. Nature methods. 17, 261-272 Doi.org/10.1038/s41592-019-0686-2

Youssef, H.M., Alghamdi, N.A., Ezzat, M.A., El-Bary, A.A., and Shawky, A.M. (2020). A new dynamical modeling SEIR with global analysis applied to the real data of spreading Covid-19 in Saudí Arabia. Mathematical Biosciences and Engineering, 17(6), 7018-7044. Doi: 10.3934/mbe.2020362