Instituto Venezolano de Investigaciones Científicas, Caracas, Venezuela1, 2, 3
PDVSA Intevep, Los Teques, Venezuela4
vargas2212@gmail.com1
tamarazoltan@gmail.com2
yesicatrrs@gmail.com3
angulobcs@gmail.com4
Fecha de recepción: 23/03/2022
Fecha de aceptación: 20/06/2022
Pág: 35 - 71
La aparición de nuevos métodos fotoquı́micos ha ofrecido una atractiva solución
más eficiente a la mineralización completa de pesticidas en los principales medios
ambientales. En esta revisión se estudian los diversos resultados basados en tratamientos
fotoquı́micos y procesos de oxidación de la fotodegradación de pesticidas. Se hace
énfasis en los principios básicos de los métodos fotoquı́micos usados, como también
el análisis de su eficiencia de estos procesos para la disminución o eliminación de la
toxicidad de los pesticidas en sistemas acuosos.
Palabras clave: fotocatálisis, fotólisis, pesticidas, tratamiento de aguas residuales.
The appearance of new photochemical methods has offered an attractive and more efficient
solution to the complete mineralization of pesticides in the main environmental media.
In this review, the various results based on photochemical treatments and oxidation
processes of the photodegradation of pesticides are studied. Emphasis is placed on the
basic principles of the photochemical methods used, as well as the analysis of the efficiency
of these processes for the reduction or elimination of the toxicity of pesticides in aqueous
systems.
Key words: photocatalysis, photolysis, pesticides, wastewater of treatment.
Esta obra está bajo licencia CC BY-NC-SA 4.0
Según la Organización Mundial de la Salud (OMS), existen más de mil (1000) productos
quı́micos empleados para el control de plagas, durante el cultivo de alimentos. Los pesticidas
aplicados sobre la siembra generalmente migran hacia los cuerpos de agua asociados al área
geográfica, a través de la deriva del rociado y la escorrentı́a, manteniendo su integridad quı́mica y viajando miles de kilómetros o degradándose por hidrólisis, fotólisis y acción microbiana,
todo esto, según su estructura quı́mica, las caracterı́sticas del ambiente (geologı́a, hidrologı́a,
clima) y biodisponibilidad. Los impactos ecotoxicológicos del pesticida y sus principales
productos de degradación en los organismos acuáticos, generalmente se evalúan comparando
su toxicidad potencial y las concentraciones ambientales (Kohler y Triebskorn, 2013).
En esta revisión bibliográfica se estudian los diversos resultados de trabajos basados
en tratamientos fotoquı́micos y procesos de oxidación de la fotodegradación de pesticidas,
enfatizándose los principios básicos de los métodos fotoquı́micos usados. Dirigiéndose el análisis de los resultados en la eficiencia de estos en la disminución o eliminación de pesticidas en sistemas acuosos.
Cuando la estructura quı́mica del pesticida es alterada notablemente por fotorreacciones de
ciclado y reordenado, la toxicidad de sus fotoproductos es difı́cil de inferir, como lo ejemplifican los insecticidas de ciclodieno policlorado; para este caso los fotoproductos son menos tóxicos para los organismos acuáticos que sus promotores pesticidas, mientras que para el bifenazato vı́a oxidación de hidrazina, la fenhexamida vı́a ciclación, el fipronil vı́a oxidación/reducción de azufre o desulfinilación, el glifosato, vı́a clivaje C-P; los productos de degradación pueden presentar mayor toxicidad que el pesticida inalterado (Lambropoulou et al., 2010).
La fotólisis directa de un plaguicida procede a través de estados excitados en el medio
ambiente cuando tiene una absorción > 290 nm, su longitud de onda umbral es la de la luz
solar en la superficie de la Tierra. Es posible que se forme un fotoproducto con una estructura
muy diferente a la del plaguicida original. En cambio, la reacción de un plaguicida con una
especie reactiva de oxı́geno (ROS) fotogenerada en fotólisis indirecta tiene lugar especialmente
en agua natural que contiene materia orgánica disuelta (MOD) y/o NO3−, independientemente de su perfil de absorción. El radical hidroxilo más reactivo (·OH) oxida un grupo alquilo y un anillo aromático de una manera relativamente no selectiva. El oxı́geno singlete (1O2) reacciona con un resto insaturado rico en electrones para dar hidroperóxido, 1,2-dioxetano o endoperóxido, y también participa en la oxidación del azufre y la oxigenación de los heterociclos.
Los estados excitados de los pesticidas a través de la absorción directa de la luz pueden ser
extinguidos por la MOD abundante en las aguas naturales y, al mismo tiempo, la MOD puede
generar ROS, lo que provoca la oxidación de los pesticidas. Por lo tanto, la contribución de
la fotólisis directa en agua natural expuesta a la radiación solar es limitada, siendo de interés solo para algunas clases de pesticidas, sin embargo; el conocimiento de la fotólisis directa es
indispensable para evaluar la fotoquı́mica básica de los plaguicidas en el medio acuático.
En esta revisión, primero discutimos varios enfoques para investigar los mecanismos de
reacción en la fotólisis directa. El comportamiento de la fotodegradación de los plaguicidas
en el agua se ha examinado mediante un estudio de la literatura y los informes normativos
teniendo en cuenta la radiación solar en la superficie terrestre. Los mecanismos propuestos
para las reacciones tı́picas se discuten haciendo referencia a análisis espectroscópicos, teóricos y de productos, y luego se resume el alcance general de la fotólisis acuosa para cada clase de plaguicida y/o grupo funcional. Finalmente, se proporciona un resumen general, que incluye aspectos que deben tenerse en cuenta para desarrollar las vı́as de degradación de los plaguicidas en la fotólisis directa.
Con el fin de investigar el efecto de la luz solar sobre la persistencia y ecotoxicidad de
los plaguicidas que contaminan el medio acuático, se expuso una serie de estos, en medio
acuoso a la luz solar y a la radiación ultravioleta (UV) de 254, 302 o 365 nm (UV-C, UV-B o
UV-A, respectivamente). La degradación de los plaguicidas se controló mediante cromatografı́a
lı́quida de alta resolución (HPLC y espectrofotometrı́a UV-Vis). Las tasas de fotodegradación
de los plaguicidas dependen tanto de la estructura quı́mica como de la longitud de onda de la
exposición UV.
El ensayo de toxicidad utilizando la prueba de bacterias luminiscentes (ISO11348) indicó
que la radiación UV redujo la toxicidad de algunos productos quı́micos para los organismos
acuáticos al disminuir su cantidad (fotodegradación) y aumentó la toxicidad de otros al generar
fotoproductos tóxicos (Arroyave y Garcés (2006); Arroyave et al. (2011)). Estos resultados indican la importancia de investigar no solo los compuestos originales, sino también los fotoproductos en la evaluación de riesgos de los pesticidas en ambientes acuáticos.
En la actualidad, se encuentra en progreso la aplicación de los procesos avanzados de
oxidación (PAO) por medios fotoquı́micos, que se basan en tecnologı́as de destrucción de los
contaminantes a través de sustancias quı́micas conocidas como radicales libres hidroxilos,
los cuales tienen la propiedad de ser altamente oxidantes; dichos radicales reaccionan con el
contaminante y lo transforman en compuestos inocuos al ambiente. La mayorı́a de los PAO
pueden aplicarse a la remediación y destoxificación de aguas especiales (Garcés, 2005; Garcés et al., 2005), generalmente en pequeña o mediana escala. Los métodos pueden usarse solos o combinados entre ellos o con métodos convencionales, y pueden ser aplicados también a
contaminantes del aire y el suelo.
Un pesticida es cualquier sustancia o mezcla de sustancias dirigidas a destruir, prevenir, repeler o mitigar alguna plaga. El término pesticida se puede utilizar para designar compuestos que sean herbicidas, fungicidas, insecticidas, o algunas otras sustancias utilizadas para controlar plagas (Pérez y Merino, 2015).
Según su constitución quı́mica, los plaguicidas pueden clasificarse en varios grupos,
los más importantes son: arsenicales, carbamatos, derivados de cumarina, derivados de
úrea, dinitrocompuestos, organoclorados, organofosforados, organometálicos, piretroides,
tiocarbamatos y triazinas.
Dado que los pesticidas afectan todas las matrices ambientales tales como aire, agua y
suelo, las investigaciones en los últimos años han centrado su interés en observar ampliamente
la presencia de residuos de plaguicidas y su impacto en diversos hábitats naturales. Se ha
descrito de manera alarmante que la contaminación de pesticidas no es un problema limitado a
una sola nación o continente, sino un fenómeno global. Asimismo, la concentración de muchos
residuos de plaguicidas a menudo excede los niveles permisibles, aumentando los efectos
nocivos sobre el medio ambiente.
Luo y colaboradores en el año 2004, describieron la presencia de pesticidas organoclorados
(POC) en partı́culas en suspensión y en la fase disuelta de muestras de la columna de agua,
recogidas del canal de Guangzhou del rı́o Perla y el puerto de Macao, China (Luo et al.,
2004). Del mismo modo, se han reportado residuos de plaguicidas en la cuenca del rı́o Paranoá de Brasil (Caldas et al., 1999). En este sentido, en Venezuela fueron evaluados los efectos causados por algunos insecticidas sobre la entomofauna del tomate, en el noroeste del estado
Zulia. Hay que señalar que estos plaguicidas generalmente tienden a concentrarse más hacia
los sedimentos que en la superficie del agua (Z. Zhang et al., 2004).
En referencia al agua en Venezuela, se han descrito como principales fuentes de
contaminación la degradación de diversas cuencas de los rı́os Guaire y Tuy, lago de Valencia,
valles de los rı́os Tocuyo y Aroa, rı́os Unare, Neverı́, Manzanares, Guarapiche, Lago de
Maracaibo entre otros (Rojas y Espinosa, 2015).
Es conocido que Venezuela figura entre los paı́ses que poseen más decretos sobre protección
ambiental. Más de la mitad del territorio está bajo 15 figuras jurı́dicas de áreas protegidas.
No obstante, al carecerse de mecanismos que hagan cumplir dichas normativas, más del
95 % de las aguas residuales (conteniendo pesticidas provenientes de siembras) son vertidas a
quebradas, rı́os, lagunas y al mar, sin tratamiento. Entre éstos: Embalse La Mariposa y La
Pereza (Caracas), Turimiquire (Oriente), Cumaripa (Yaracuy), Dos Carritos (Lara), Calabozo
(Guárico), Burro Negro (Zulia), Pao Cachinche y Canoabo en Carabobo.
Estudios realizados de análisis y caracterización de algunos plaguicidas organoclorados
como aldrı́n, dieldrı́n, p.p’-DDD, p.p’-DDE, p.p’-DDT, endrı́n, o.p’-DDE y o.p’-DDT han sido
realizados en agua del rı́o Tucutunemo en Venezuela (Cárdenas et al., 2018). Esto conlleva
a una aplicación de nuevas y eficientes metodologı́as (Fotocatálisis, por ejemplo) para la
depuración de nuestras aguas.
En Grecia, se describió que la contaminación por pesticidas es mayor en los rı́os que en los
lagos. La distribución de los plaguicidas en los rı́os en general mostró una variación estacional, con los valores máximos que se producen durante el último perı́odo de la primavera y el verano, mientras que los valores mı́nimos se observaron durante el invierno A medida que la actividad agrı́cola era menos prominente durante el invierno, los niveles de pesticidas fueron más bajos. De esta manera, se demostró que la contaminación de pesticidas estaba estrechamente asociada con el ritmo y magnitud de las actividades agrı́colas (Golfinopoulos et al., 2003).
Debe tenerse en cuenta que la presencia de pesticidas en cualquier medio puede causar
enormes complicaciones para los organismos que habitan en ese ambiente en particular. Por
ejemplo, la sulfonilúrea, la sulfonamida y los herbicidas de imidazolinona, entre otros, son
compuestos quı́micos que pueden inhibir la actividad enzimática en plantas, retardando el
crecimiento de la misma o conduciendo a su muerte. Estos pesticidas pueden mantener sus
efectos perjudiciales mientras se mantengan y persistan en el agua de riego, mostrando varios
efectos tóxicos tanto en el ecosistema como en humanos.
En el 2007, Zhou y colaboradores, mostraron la presencia de 13 compuestos orgánicos
persistentes (POC) en 18 especies de peces del rı́o Qiantang (República Popular de China). Las
concentraciones de los POC en los músculos de peces variaron desde 7,43 hasta 143,79 ng/g de
peso húmedo con la concentración más alta registrada para la especie Cynoglossusabbreviatus,
un pez carnı́voro bentónico. Los resultados sugieren que los peces bentónicos carnı́voros tienen niveles de POC más altos que otros peces con diferentes tipos de alimentación (Zhou et al.,
2007).
Este hallazgo sugiere la repercusión de la bioacumulación. Aunque esta bioacumulación se
transfiere de un organismo a otro, su toxicidad no se observa necesariamente en todos los peces
que sobreviven en masas de agua distintas. Por ejemplo, algunos tejidos de peces de diferentes
tipos de pesqueras (sacados de agua dulce o criados en agua de mar) fueron analizados para
pesticidas organoclorados con el propósito de comprender la bioacumulación asociada a los
diferentes ambientes de la pesca, encontrándose concentración de los pesticidas, notablemente
más alta en peces criados en agua salada que en las especies sacadas de agua dulce (Guo et al.,
2008). De esta forma, puede deducirse que se puede producir la contaminación por plaguicidas de manera más marcada en las aguas de granjas que en el hábitat natural del mar o de agua
dulce.
La presencia de estos compuestos se ha reportado también en el aire. 39 tipos de pesticidas
fueron encontrados en el aire de la ciudad de Kyushu, Japón (Haraguchi et al., 1994). En un trabajo similar, fueron medidos plaguicidas organoclorados en el aire de la región de los lagos Taihu, China, reportándose altas intensidades en los niveles de pesticidas en la zona donde habı́a cultivos de algodón.
Los impactos ecológicos de los pesticidas en el agua están determinados por los siguientes criterios:
Ecotoxicidad:
La toxicidad para seres vivos generalmente expresada como LD50 (”Dosis letal”:
concentración del pesticida que matará a la mitad de los organismos de prueba durante un
perı́odo de prueba especı́fico). Cuanto menor sea la LD50, mayor será la toxicidad; valores
de 0-10 son extremadamente tóxicos (Ontario Ministry of Agriculture and Food (OMAF), 1991).
Las pautas para el agua potable y los alimentos se determinan mediante una evaluación
basada en el riesgo. Generalmente, Riesgo = Exposicion (cantidad y/o duracion) × Toxicidad.
La respuesta tóxica (efecto) puede ser aguda, ocasionando la muerte o crónica, un efecto
que no causa la muerte durante el perı́odo de prueba pero que causa efectos observables en
el organismo de prueba, como cáncer, falla reproductiva, inhibición del crecimiento, efectos
teratogénicos, entre otros.
Persistencia:
Medido como vida media (tiempo requerido para que la concentración ambiental disminuya
en un 50 %). La persistencia está determinada por procesos de degradación bióticos y abióticos.
Los procesos bióticos son la biodegradación y el metabolismo; Los procesos abióticos son
principalmente hidrólisis, fotólisis y oxidación.
Los pesticidas modernos tienden a tener vidas medias cortas que reflejan el perı́odo durante
el cual se debe controlar la plaga, sin embargo; debe considerarse que algunos pesticidas
prohibidos luego de la firma del Convenio de Estocolmo, 2001; persisten, incluso en los lugares
más remotos del planeta, tal como los plaguicidas organoclorados DDT, dieldrin, aldrı́n, entre
otros (Jayaraj et al., 2016).
Degradación:
El proceso de degradación puede conducir a la formación de “degradados” que pueden
tener una toxicidad mayor, igual o menor que el compuesto original. Como ejemplo, DDT se
degrada a DDD y DDE.
Destino ambiental:
El destino ambiental de un plaguicida se ve afectado por la afinidad natural del producto
quı́mico por uno de los cuatro compartimentos ambientales: materia sólida (materia mineral
y partı́culas de carbono orgánico), lı́quido (solubilidad en la superficie y en el suelo, siendo
el solvente agua), forma gaseosa (volatilización) y biota. Los pesticidas tienden a distribuirse
entre estas matrices según una constante de ”particiónreferida a la afinidad del compuesto
hacia una de las matrices ambientales mencionadas previamente (agua, carbono orgánico,
lı́pidos) por ejemplo, para el caso del suelo, se emplea el coeficiente de partición del compuesto respecto al carbono orgánico (KOC); y para el caso de la afinidad hacia la fase lipı́dica (bioacumulación), el coeficiente de partición n-octanol/agua (KOW).
Las propiedades fisicoquı́micas del pesticida, tales como polaridad, solubilidad y presión
de vapor, son determinantes en su comportamiento ambiental (migración y destino). Todos
estos parámetros son bien conocidos para los pesticidas y se utilizan para predecir el destino
ambiental del pesticida. Un factor adicional puede ser la presencia de impurezas en la
formulación de los plaguicidas que no forman parte del ingrediente activo. Un ejemplo es el
caso de TFM, un lampricida utilizado en los afluentes de los Grandes Lagos durante muchos
años para el control de la lamprea marina. La formulación de TFM incluye una o más impurezas
altamente potentes que impactan en el sistema hormonal de los peces y causan enfermedades hepáticas. Situaciones similares han sido reportadas por distintos autores (Kalyabina et al.
(2021); Winter (2012)).
La exposición a plaguicidas puede ser perjudicial para los seres humanos. A fin de evaluar
los niveles de exposición ante pesticidas, fue realizada una encuesta experimental en empleados
de una planta de fabricación de plaguicidas, encontrándose que los trabajadores estaban
sujetos a un aumento significativo de la frecuencia de aberraciones cromosómicas, trayendo
como consecuencia un gran alto riesgo de mutaciones (Sailaja et al., 2006).
En otro trabajo Rupa et al. (1991), las historias reproductivas de más de mil (1000) parejas que trabajan en el campo del algodón fueron estudiadas en referencia a mil (1000) parejas normales (es decir, con el hombre sin exposición continua a plaguicidas). Se observó claramente una disminución en la fertilidad de los varones y un aumento significativo de abortos entre las esposas de estos hombres expuestos. Por otra parte, los hombres que eran fumadores habı́an exhibido un aumento significativo en la susceptibilidad asociada a los problemas de tabaquismo, lo que indica que la contaminación por pesticidas puede elevar los efectos negativos del tabaco, influyendo aún más sobre la fertilidad de la reproducción masculina.
Desde la década de los 90 comenzaron a vincularse los efectos de los pesticidas con
la morbilidad oncológica (cáncer), pulmonar y hematológica, ası́ como con deformidades
congénitas y deficiencias del sistema inmunitario. Los pesticidas ingresan al cuerpo humano a
través de las siguientes vı́as: contacto directo por la piel, durante su manejo; vı́a respiratoria, al ser inhalados durante su aplicación y por vı́a oral, consumidos como contaminantes en los alimentos o bebidas.
Los trabajadores agrı́colas tienen riesgos especiales asociados con la inhalación y el contacto
con la piel durante la preparación y aplicación de pesticidas a los cultivos. Sin embargo, para
la mayorı́a de la población, un vector principal es la ingestión de alimentos contaminados con
plaguicidas.
La degradación de la calidad del agua por la escorrentı́a de pesticidas tiene dos impactos
principales en la salud humana. El primero es el consumo de pescados y mariscos contaminados
por plaguicidas; esto puede ser un problema particular para las economı́as de pesca de
subsistencia que se encuentran rı́o abajo de las principales áreas agrı́colas. El segundo es el
consumo directo de agua contaminada con plaguicidas. Muchos organismos de protección
de la salud y el medio ambiente han establecido valores de ingesta diaria admisible (IDA)
que indican la ingesta diaria máxima permitida durante la vida de una persona sin riesgo
apreciable para el individuo. Por ejemplo, en un artı́culo de Y. Wang y Lin, 1995 que estudiaba fenoles sustituidos, se encontró que la tetraclorohidroquinona, un metabolito tóxico del biocida pentaclorofenol, produce daño significativo en el ADN, dependiente de la dosis.
Los pesticidas se incluyen en una amplia gama de microcontaminantes orgánicos que
tienen impacto ecológico. Las diferentes categorı́as de pesticidas tienen diferentes tipos de
efectos sobre los organismos vivos, por lo que la generalización es difı́cil. Aunque los impactos
terrestres por pesticidas ocurren, la principal vı́a de impacto es el agua contaminada por la
escorrentı́a de pesticidas, en contacto con los seres vivos afectados, una vez en los organismos
pueden sufrir bioconcentración y biomagnificación.
Bioconcentración: este es el movimiento de una sustancia quı́mica desde el medio
circundante hasta un organismo. El principal “sumidero” de algunos pesticidas es el tejido
adiposo (“lı́pidos”) de seres vivos, desde peces hasta mamı́feros de grandes dimensiones, a
los que ciertos pesticidas son afines, (elevado coeficiente de partición octanol/agua) dada
su solubilidad preferencial en la fase adiposa que, en la acuosa, tal es el caso de pesticidas
organoclorados, hallados en mamı́feros y aves silvestres, incluso a través de la ingesta de
microplásticos donde estos contaminantes están sorbidos (Alleva et al., 2006; Colabuono et al., 2010).
Biomagnificación: este término describe la concentración creciente de una sustancia
quı́mica a medida que la energı́a alimentaria se transforma dentro de la cadena alimentaria.
En tanto que los organismos más grandes comen organismos más pequeños, la concentración
de pesticidas aumenta cada vez más en los tejidos y otros órganos. Se pueden observar
concentraciones de riesgo en los principales depredadores, incluido el hombre (Morris et al.,
2016).
Los efectos ecológicos de los pesticidas y otros contaminantes orgánicos derivados de éstos,
son variados y, a menudo, están interrelacionados. Los efectos a nivel del organismo o ecológico
generalmente se consideran un indicador de alerta temprana de posibles impactos en la salud
humana. Los principales tipos de efectos se enumeran a continuación y variarán según el
organismo bajo investigación y el tipo de pesticida.
Diferentes pesticidas tienen efectos marcadamente diferentes en la vida acuática, lo que
hace que la generalización sea muy difı́cil. El punto importante es que muchos de estos
efectos son crónicos (no letales), a menudo no son notados por observadores casuales, pero
tienen consecuencias para toda la cadena alimentaria: muerte del organismo; cánceres,
tumores y lesiones en peces y animales; inhibición o fallo reproductivo; supresión del sistema
inmunológico; alteración del sistema endocrino (hormonal); daño celular y del ADN; efectos teratogénicos (deformidades fı́sicas como picos en forma de gancho en las aves); mala salud
de los peces marcada por una baja proporción de glóbulos rojos a glóbulos blancos; exceso
de baba en las escamas y branquias de los peces; efectos intergeneracionales (los efectos no
son evidentes hasta las generaciones posteriores), ası́ como otros efectos fisiológicos como el
adelgazamiento de la cáscara del huevo (Lushchak et al., 2018).
Además de las reacciones quı́micas y fotoquı́micas, existen dos mecanismos biológicos
principales que provocan la degradación de los plaguicidas. Estos son (1) procesos
microbiológicos en suelos y agua y (2) metabolismo de pesticidas que son ingeridos por
organismos como parte de su suministro de alimentos. Si bien ambos procesos son beneficiosos
al reducir la toxicidad de los pesticidas, los procesos metabólicos causan efectos adversos, por
ejemplo, en los peces. La energı́a utilizada para metabolizar pesticidas y otros xenobióticos
(sustancias quı́micas extrañas) no está disponible para otras funciones corporales y puede
afectar seriamente el crecimiento y la reproducción del organismo.
Debido a los impactos negativos de los plaguicidas, la necesidad de su control se ha hecho
más evidente en los últimos años. Inicialmente, se emplearon metodologı́as convencionales para
el tratamiento. La adsorción de los plaguicidas se aplicó de manera amplia, pero tal enfoque
era solo una segregación de los plaguicidas, en lugar de un tratamiento. Por otro lado, la
biodegradación, la ozonización y la cloración también se llevó a cabo, pero sus resultados no
eran adecuados en medios ambientales naturales como el aire, el agua y el suelo. Por lo tanto,
la necesidad para el tratamiento eficaz de los plaguicidas fue una de las tareas más imperiosas
de la sociedad cientı́fica moderna.
Como alternativas a los enfoques tradicionales, los métodos fotoquı́micos se basan
principalmente en la utilización de la radiación electromagnética como fuente de energı́a. La
fuente de fotones puede ser una luz solar natural o luz UV externa (como xenón o lámparas
de mercurio). En general, la absorción de la energı́a radiante en una molécula puede provocar
cambios tanto fotofı́sicos como fotoquı́micos.
La reacción fotoquı́mica en general se puede dividir en procesos primarios y reacciones
secundarias. Los procesos fotoquı́micos primarios implican una serie de eventos que comienza
con la absorción de un fotón por una molécula y termina con la desaparición de esa
molécula, o con su conversión de nuevo a su estado inicial por emisión de calor o de un
fotón de menor energı́a. Las reacciones secundarias son aquellos procesos no fotoquı́micos que conducen a productos quı́micos. Los caminos pueden incluir la formación de radicales libres,
reordenamientos intramoleculares, formación de otras moléculas excitadas (por transferencia
energética), que a su vez pueden reaccionar en procesos secundarios para formar nuevos
productos.
En este orden de ideas, estos procesos pueden ser aplicados a la degradación fotoquı́mica
de pesticidas, disminuyendo su vida media en el medio ambiente. Durante la fotodegradación
directa, la absorción de un fotón por el compuesto objetivo resulta en la ruptura del enlace o
reordenamiento para formar un nuevo producto estable y no tóxico. Esta vı́a solo es aplicable
a aquellas moléculas capaces de absorber radiación dentro del espectro solar (es decir: > 290
nm). Durante la fotodegradación indirecta, un fotosensibilizador absorbe luz y produce una
serie de especies reactivas (principalmente de oxı́geno) que pueden degradar el compuesto
objetivo (Mill, 1999; Richard y Canonica, 2005).
La degradación fotolı́tica de pesticidas pretende inducir el cambio quı́mico a través de la absorción de la radiación en ambas rutas: directa e indirecta. En la fotólisis directa, un cromóforo en la estructura del pesticida absorbe la energı́a radiante para formar una molécula activada del pesticida. Tales moléculas excitadas pueden entonces someterse a procesos como homólisis, heterólisis, o fotoionización (Esquema 1).

También se puede descomponer por sı́ misma sobre la absorción del fotón de la energı́a
radiante. Por lo tanto, los compuestos altamente recalcitrantes que no experimentan cualquier
cambio quı́mico con otros métodos (o componentes) podrı́an ser degradados por este proceso.
Aunque esta ruta es bastante simple en el tratamiento de los pesticidas, no es fácil
cumplir la mineralización completa. Para ejemplificar esto, se cita el caso de fotólisis del Imidacloprid (insecticida para el control de plagas) en solución acuosa. En este sentido, el
Imidacloprid (insecticida para el control de plagas) en solución acuosa se sometió a fotólisis.
La degradación resultante fue demostrada con un rendimiento del 90 % en la transformación
del sustrato después de 4 horas de exposición. Los principales subproductos se identificaron
como 6-cloronicotinaldehı́do, N-metilnicotinacidamida, 1-imidazolidona (6-cloronicotinilo) y
6-cloro-3-piridil-metiletilendiamina, entre otros (Moza et al., 1998).
En otro trabajo, Yeasmin et al. (2009), llevaron a cabo la fotólisis de azinfos-metilo (AZM), un insecticida organofosforado ampliamente utilizado; en donde observaron un compuesto
fluorescente, el ácido N-metilantranı́lico como el producto final del proceso de degradación de
AZM.
La mineralización completa todavı́a es difı́cil de lograr en el proceso de fotólisis directa. Por
otro lado, la fotólisis indirecta se produce cuando una especie distinta de la sustancia quı́mica
de interés (plaguicida), absorbe la luz solar e inicia una serie de reacciones que pueden facilitar
la transformación del plaguicida. Como un ejemplo de este tipo de especies, se han descrito a
la materia orgánica disuelta MOD (ácidos húmicos y ácidos fúlvicos), nitratos en agua, óxidos
de nitrógeno y ozono en el aire, ası́ como minerales y metales de transición en arcillas. Tales
especies, contenidas en la solución del pesticida, actúan como fotosensibilizadores absorbiendo
luz y generando especies oxidantes (principalmente radicales como el anión superóxido,
peróxidos de alquilo, entre otros), los cuales son los responsables de la mineralización de los
plaguicidas de interés (Esquema 2) (Lam et al., 2003).

Un aumento en la eficiencia de la fotólisis fue observada cuando se realizaron estudios de
agua con ácidos húmicos presentes, enriquecida con DDT, utilizando radiación ultravioleta
(longitud de onda de 254 nm). En este sentido, se han reportado que diversos factores afectan
la fotodegradación simple en ambas condiciones naturales y artificiales.
Halladja et al. (2007) llevaron a cabo un estudio sobre el herbicida Fluometurón, bajo
condiciones solares naturales mediante el empleo de agua neutra Milli-Q y aguas sintéticas
que contienen cualquiera de los ácidos fúlvicos (AF), iones de nitrato, o ambas cosas. La tasa
de degradación de Fluometurón fue mayor en aguas sintéticas que contienen iones de AF y
nitrato. El AF aumentó su tasa de fotólisis en un factor de 2,5, mientras que los nitratos lo
hicieron en un factor de 15. La presencia de estas especies fotoactivas alteró a su vez el patrón
de formación de subproductos.
En este sentido, los autores reportaron que, en presencia de nitratos, la hidroxilación
del anillo aromático llevó a la formación de CO2H, mientras que la oxidación de la cadena
de urea resultó en desmetilación. Por el contrario, en presencia del AF, la hidroxilación
fue la ruta de reacción principal para el anillo aromático. Por otro lado, también se ha
demostrado que las condiciones ambientales influyen en la velocidad de la fotodegradación. Se
ha reportado que la fotodegradación de pesticidas organofosforados estructuralmente similares
usando metil-paratión y fenitrotión en agua (20◦ C) y hielo (−15◦ C) procede de manera más eficiente en el hielo que en soluciones acuosas. Esto puede ser debido posiblemente al efecto de
concentración, debido a la formación de los cristales de hielo. Los resultados obtenidos por los
investigadores abren un panorama para el tratamiento de pesticidas en los lugares donde las
condiciones ambientales son de temperaturas bajas (Weber et al., 2009).
En general, aunque el agua es el medio más empleado en la fotólisis, muchos estudios han
sido realizados en los residuos de plaguicidas en medios como el aire y el suelo. Uno de los
primeros trabajos al respecto fue el de Mongar y Miller (1988). En este trabajo los autores llevaron a cabo la fotólisis en fase de vapor del pesticida Trifluralina en una cámara de polietileno bajo
iluminación solar. Los autores observaron que la tasa de eliminación de pesticidas en vapor fue
similar a la de pesticidas en suspensión en medio acuoso.
En esta misma lı́nea de investigación, Muñoz et al. (2011), investigaron la fotodegradación
en fase gaseosa de Diazinón (insecticida para suelos) y Trifluralina (herbicida pre-siembra) en
un gran fotorreactor europeo al aire libre (EUPHORE). Los autores atribuyen formaciones
de aerosol significativos en la reactividad de los radicales hidróxilo (formas en la atmósfera
debido a la fotólisis del O3) con pesticidas en fase gas. Se observó que la tasa de fotólisis fue
generalmente más lenta en los suelos debido al efecto pantalla de las partı́culas del suelo.
Otros parámetros como la presencia de especies quı́micas (O2, Cl−, Ca2+, Fe3+, entre otras), el rango de la longitud de onda y el tiempo de la exposición mostraron que pueden
controlar la velocidad de reacción (Kundu et al., 2005). Del mismo modo, el patrón de
degradación de varios plaguicidas clorados (el ácido 4-cloro-2-metilfenoxi acético (MCPA),
diclorofenol (DCP), flamprop-metilo (FPM), y vinclozolina (VCZ)) fueron estudiados en
matrices de suelos arenosos de Fontainebleau (Parı́s, Francia), de Touggourt (Argelia) y
de Jijel (Argelia). La fotodegradación del pesticida MCPA fue más rápida en la arena de Fontainebleau que en las otras dos, atribuyendo este comportamiento a la coloración de las
arenas seleccionadas (la de Touggourt prácticamente incolora) y las adherencias de las mismas
al reactor. Los resultados mostraron que la velocidad de degradación de estos pesticidas
disminuyó siguiendo el siguiente orden: MCPA > DCP > FPM > VCZ (Zertal et al., 2005).
La eficiencia de la fotólisis, si se combina con oxidantes quı́micos como el peróxido de
hidrógeno u ozono, puede ser mejorada para aumentar aún más la velocidad de degradación de
pesticidas. En este sentido, en el proceso sinérgico entre UV/H2O2, la fotólisis del peróxido de hidrógeno conduce a la formación de radicales HO· con una eficiencia cuántica de alrededor de
0,5 (Lopez et al., 2000). Estos radicales, por reacción con otras moléculas de H2O2 conducen a la formación de HO2· (radical hidroperóxido) y O2− (anión superóxido). La reactividad de los radicales hidroperóxido y superóxido frente a la materia orgánica es comparable en orden de magnitud que los radicales HO· generados en el proceso primario (Jonsson et al., 1993).
En cuanto a los mecanismos involucrados en este tipo de reacciones, los radicales formados,
debido a su alta reactividad, inician la degradación oxidativa de los contaminantes acuosos
principalmente mediante reacciones de adición a sustratos aromáticos para formar radicales
ciclohexadienilo o mediante la abstracción de hidrógeno a sustratos alifáticos para formar
radicales alquilo. Posteriormente, los radicales ciclohexadienilo o alquilo generados, adicionan
oxı́geno molecular y forman radicales peróxidos que inician reacciones térmicas que conducen
finalmente a la formación de dióxido de carbono, agua y ácidos inorgánicos (HNO3 y HCl).
Esta serie de procesos puede representarse mediante el siguiente esquema de reacciones
(Carter et al., 2000; Jonsson et al., 1993; Lopez et al., 2000; Mohan et al., 1991; Stefan y
Bolton, 1999, 2000; Sundstrom et al., 2009):
Donde INT representa al conjunto de intermediarios de reacción, mientras que Ar y RH
corresponden a compuestos aromáticos y alifáticos respectivamente.
Chelme-Ayala et al. (2010), llevaron a cabo un experimento en el que el rendimiento relativo de la fotólisis UV/H2O2 se evaluó durante la degradación de dos pesticidas (Bromoxinil y Trifluralina). La eficiencia de degradación de ambos pesticidas fue el doble utilizando H2O2 en comparación con la fotólisis directa, quedando en evidencia la mejora utilizando oxidantes.
En otro trabajo, la degradación fotoquı́mica de Tiacloprid se estudió en el sistema
UV/H2O2 bajo condiciones de solución con diversas concentraciones iniciales de H2O2 y pH (Abramović et al., 2010). Los resultados mostraron 97 % de degradación del Tiacloprid en aproximadamente 2 horas con la relación molar H2O2/Tiacloprid de 220 y pH de 2,8. La degradación de Tiacloprid fue acompañada de la formación de un número de subproductos iónicos (cloruro, acetato y formiato) y productos intermediarios orgánicos.
En una investigación similar, la degradación de -hexaclorociclohexano (Lindano) también
se investigó en diversas condiciones de la solución 5. A pH 7 y una concentración inicial de
1mM de H2O2, se logró una degradación óptima (≈ 90 %) de Lindano en menos de 4 min. Ası́
mismo, se reportó que a los 15 minutos de reacción, todos los átomos de cloro se convirtieron
en ión cloruro. Esta observación sugiere, por lo tanto, que los subproductos orgánicos clorados
no se acumulan (Nienow et al., 2008). En este mismo sentido, (Wu y Linden, 2010), también
reportaron la potente función de los iones en el sistema UV/H2O2 para la degradación de dos pesticidas organofosforados Paratión y Clorpirifos.
La presencia de los iones carbonato y bicarbonato en la solución acuosa contribuyó a
dos efectos completamente divergentes. Se encontró que los iones bicarbonato obstaculizan
la eficiencia del sistema UV/H2O2 por barrido (quencher ) del radical hidróxilo, mientras que los iones carbonato promueven la degradación. La aparición de estas reacciones competitivas
puede ser uno de los mecanismos más dramáticos en las masas de agua naturales que contienen
carbonatos y bicarbonatos.
Además del proceso sinérgico UV/H2O2, hay otro proceso igualmente utilizado, UV/O3.
Tras la absorción de UV, el ozono se somete a un cambio estructural intermedio y se combina
con agua para formar el radical hidroxilo (Šojić et al., 2012).


Este método ha probado su efectividad para la oxidación y degradación de compuestos
orgánicos tóxicos y refractarios a otros tratamientos, ası́ como también para la destrucción
de bacterias y virus en aguas. Desde un punto de vista fotoquı́mico, el ozono presenta un
coeficiente de extinción molar a 254 nm mayor que el del H2O2, de este modo los efectos de
filtro interno con compuestos aromáticos son menos problemáticos que en la técnica UV/H2O2.
En los sistemas en donde se ha aplicado la combinación UV/O3, las velocidades de degradación
observadas son mucho mayores que las obtenidas con O3 o radiación UV por separado.
En general, se ha utilizado este sinergismo a escala piloto e industrial para el tratamiento
de contaminantes en concentraciones de ppm o ppb sin generación de residuos peligrosos. En
primer lugar, la baja solubilidad del ozono en agua, lo cual limita la velocidad del proceso
y dificulta el diseño de los reactores por problemas de transferencia de masa. El segundo
inconveniente está relacionado con los altos costos de producción del O3.
La formación del radical ·OH es el principio fundamental de los dos procesos fotoquı́micos
anteriores de oxidación avanzada. Muchos estudios se han llevado a cabo para conocer la
importancia de los oxidantes (como el ozono) en relación con la fotólisis convencional. Kearney
et al. (1987), exploraron la eficacia del sistema UV/O3 para determinar el tiempo requerido para destruir nueve herbicidas formulados y dos insecticidas formulados preparados a tres
niveles de concentración (10, 100, y 1000 ppm). Los resultados mostraron que el tiempo
requerido para lograr el 90 % de destrucción depende de sus niveles de concentración lo cual
incrementaba con el aumento de la concentración del pesticida. Del mismo modo, Rao y Chu
(2009) llevaron a cabo un estudio comparativo para evaluar la degradación del plaguicida
Linurón, entre los tres procesos diferentes: la fotólisis, ozonización y UV/O3. La velocidad de
degradación del sistema O3/UV es de 3.5 y 2 veces mayor que la fotólisis y el tratamiento de
ozono convencional, respectivamente.
Intrı́nsecamente, es importante hacer frente que la degradación también deberı́a ayudar a
disminuir los productos desfavorables. Por ejemplo, bajo la fotolisis UV convencional, la ruta
de degradación de Linurón se siguió a través de desmetoxilación, fotohidrólisis y desmetilación
N-terminal. En contraste, la degradación del mismo plaguicida durante la ozonización procedió
a través de N-metoxilación, decloración, y la hidroxilación en el anillo de benceno. De esta
forma, el sistema UV/O3 ha demostrado como la mejor vı́a de degradación para obtener la
mineralización, decloración, y desnitrogenización de Linurón. Por lo tanto, se considera una de
las mejores vı́as para el tratamiento de tales pesticidas con los subproductos menos dañinos.
Realizando una comparación entre los procesos sinérgicos cuyos sistemas involucran UV/O3
y UV/H2O2, podemos señalar que la absorción de la radiación por O3 es inmensamente pragmática en relación con peróxido de hidrógeno. Por lo tanto, su funcionamiento es fácil,incluso en el rango bajo de radiación. En contraste, como el H2O2 necesita energı́a de radiación más alta con baja capacidad de absorción, exhibe una alta eficiencia en comparación con
UV/O3 debido a la formación de más radicales. Como las relaciones en competencia entre los
costes de capital y de operación pueden variar ampliamente, la selección entre los sistemas de
UV/O3 y UV/H2O2 depende de un gran número de variables, incluyendo el tipo de efluente, tipos y concentraciones de contaminantes presentes, y el grado de eliminación requerida.
El proceso de oxidación Fenton fue descrito por primera vez en 1894 por Henry J. Fenton, cuando distinguió que el peróxido de hidrógeno (H2O2) podı́a activarse con iones ferrosos para oxidar ácido tartárico. Este proceso consiste en la adición de sales de hierro en presencia de H2O2, en medio ácido, para la formación de radicales ·OH (Pignatello et al., 2006). A la combinación de H2O2 y sales de hierro se denomina reactivo Fenton o reacción de Fentón (Ghosh et al., 2010).
En esta reacción, además de formarse radicales ·OH se generan radicales perhidroxilo (HO2·), los cuales inician una reacción de oxidación en cadena para eliminar la materia oxidable. Sin embargo, los radicales HO2· presentan menor poder de oxidación que los ·OH. Los principales mecanismos de reacción que se llevan a cabo con estos últimos son abstracción de hidrógeno, adición a la estructura del contaminante o transferencia de carga descritas en las siguientes ecuaciones (Neyens y Baeyens, 2003):
Por su parte, los iones férricos (Fe3+) resultantes pueden, asimismo, reaccionar con el H2O2, lo cual conduce a la regeneración del Fe2+. La constante de velocidad de esta reacción tiene un valor de 0.01 m-1s-1, aproximadamente, por lo que se considera como la reacción limitante del proceso. Asimismo, durante el sistema Fenton puede tener lugar el consumo de radicales ·OH obteniéndose nuevamente H2O2. Un exceso de H2O2 y/o de iones de hierro al inicio del proceso, respecto de la cantidad de contaminante a tratar, limita la eficiencia del mismo. De igual modo, puede producirse la recombinación de radicales ·OH y/o la reacción de estos con radicales HO2·, traduciéndose en la reducción del rendimiento del proceso Fenton (Domenech et al., 2004).
El hierro puede ser añadido en su forma ferrosa (Fe2+) o férrica (Fe3+), siendo esta última conocida como proceso tipo Fenton, Las sales de hierro férricas suelen ser menos utilizadas como consecuencia de la lenta generación de radicales ·OH en las fases iniciales del proceso, ya que este se iniciarı́a con la reacción 11. Sin embargo, cuando se combina con radiación ultravioleta (UV) o solar, en cuyo caso recibe el nombre de proceso Fotofenton UV y Fotofenton solar, respectivamente, su eficiencia aumenta significativamente, ya que se favorece la regeneración del Fe2+ (Ec. 10), y aumenta, al mismo tiempo, el número de radicales ·OH generados (Batista y Pupo, 2012; Kavitha y Palanivelu, 2004). Este hecho puede explicarse a partir de la formación a pH ácido de complejos acuosos de Fe3+ (Fe(OH)2+), los cuales son capaces de absorber radiación UV y visible, sufriendo fotoreducción y produciendo ·OH.
Por lo tanto, los oxidantes reactivos resultantes (como los radicales hidroxilos) finalmente promueven el proceso de oxidación fotoquímica para degradar químicamente compuestos pesticidas recalcitrantes en las masas de agua de pH neutro.
En el 2010 Zapata y colaboradores, reportaron la degradación por foto-Fenton contra una mezcla de pesticidas comerciales típicamente usados para mantener la agricultura de invernadero (10% Oxamil, 20% Metomilo, 20% Imidacloprid, 40% Dimetoato y 40% Pirimetanil). Los estudios de degradación se llevaron a cabo bajo luz solar en la Plataforma Solar de Almería en una planta piloto construida especialmente para aplicaciones de foto-Fenton. Los autores determinaron que la eficacia del tratamiento aumenta en forma directamente proporcional a la temperatura (Zapata et al., 2010).
En otro trabajo, la influencia del pH sobre la degradación del herbicida Tebuthiuron (TBH) se investigó usando complejos de citrato de Fe (III) generados in situ (Fe:cit) sometidos al proceso de foto-Fenton bajo irradiación solar (Silva et al., 2007). Con el uso de Fe:cit en un amplio rango de pH (2,5 hasta 7,5), la oxidación de TBH se logró de manera eficiente (100-78 %) a partir de una dosis de UV de 2,0 Jcm-2 (en 15 min). Por otra parte, la oxidación de TBH en presencia de Fe:cit (a pH 6,0) fue mayor que la de Fe(NO3)3 (a pH 2,5). Es evidente que las investigaciones realizadas en las últimas décadas han demostrado con éxito la eficiencia de foto-Fenton utilizando radiaciones visible o solar, comúnmente denominado como el tratamiento foto-Fenton solar.
En los últimos años, la aplicación de foto-Fenton solar más el tratamiento biológico
también ha sido ampliamente estudiado enfocado en el tratamiento o manejo de compuestos
recalcitrantes. Ballesteros et al. (2009) llevaron a cabo el enfoque de foto-Fenton junto con
tratamiento biológico (utilizando lodos activados) de cuatro pesticidas (Laition, Metasystox,
Sevnol y ácido Ultra). Se encontró que la adición de este tratamiento previo (antes de la
degradación del biosólido activado) potenció la eficiencia y la velocidad de degradación. Los
autores reportaron que el proceso combinado se puede aplicar de manera efectiva por la rápida
degradación de los pesticidas en las aguas residuales.
En estudios a mayor escala se reportó que el tratamiento foto-Fenton a escala de
planta piloto fue capaz de reducir la toxicidad (de 96 a 50 % de inhibición) y aumentar la
biodegradabilidad (de 50 a 95 %) de las aguas residuales (Ballesteros et al., 2009). La eficiencia de la mineralización del sistema combinado, foto-Fenton/biotratamiento, fue del 94 %, la cual es muy superior a la de foto-Fenton (35,5 %) y los tratamientos biológicos (58.5 %).
La eficiencia de la combinación biotratamiento/foto-Fenton se redujo moderadamente en la
aplicación a escala industrial (84 %), aunque tal rendimiento sigue siendo alto en comparación
al de foto-Fenton (35 %) y al de la etapa biológica (49 %). De hecho, en otro trabajo, un
tratamiento foto-Fenton solar acoplado al tratamiento biológico se utilizó para eliminar
del agua los herbicidas biorrecalcitrantes Diuron y Linuron a escala de planta piloto, para
comprobar la eficacia bajo radiación solar (Farre et al., 2008).
Al igual que todos los procesos fotoquı́micos, las metodologı́as foto-Fenton son afectadas
por un número variable de factores. Entre dichos factores, la presencia de iones inorgánicos
en el proceso de foto-Fenton parece desempeñar un papel influyente. En este sentido, los iones
de fosfato y cloruro jugaron un papel inhibitorio en la tasa de degradación, mientras que el
Cu2+ aceleró el proceso. La inhibición en el caso de los cloruros es atribuida a que dichos iones actúan como secuestradores de radicales ·OH, disminuyendo la eficiencia de reacción de los mismos.
Por otro lado, recientes estudios reportan el empleo de sistemas hı́bridos en los que se
combinan los procesos foto-Fenton con otros procesos de oxidación avanzada (PAO) (UV/TiO2, ultrasonidos, oxidación electroquı́mica, entre otros). No obstante, el principal inconveniente en la aplicación de estas tecnologı́as de oxidación es el elevado costo que supone su implementación a escala industrial. Por este motivo, el acoplamiento de estos sistemas avanzados de oxidación con procesos biológicos convencionales se posiciona como una alternativa económicamente viable para la remoción de contaminantes tóxicos y persistentes, como los pesticidas.
Como se describió anteriormente compuestos conocidos como fotosensibilizadores son
aquellos que son capaces de absorber radiación y como consecuencia son excitados a un estado
de energı́a más alto. Dicho exceso de energı́a puede ser transferido al compuesto objetivo
(Esquema 2) generando su descomposición (Kennedy y Pottier, 1992). Este principio es muy
útil en la degradación de los plaguicidas que tienen eficiencia de absorción baja, haciendo poco
eficiente el uso de fotólisis directa.
La oxidación fotosensibilizada del pesticida Paratión-etilo, en solución acuosa, se llevó a
cabo en presencia de un fotosensibilizador polimérico basado en el polı́mero natural dextrano,
DXA (Nowakowska et al., 2005). Dicho fotosensibilizador actuó mejorando la eficiencia de
degradación del pesticida objetivo en gran medida, debido principalmente a una transferencia
electrónica desde los cromóforos del DXA al pesticida. Asimismo, diversos compuestos
naturales y sintéticos se han sido utilizados como fotosensibilizadores. En este sentido, el
uso de riboflavina (Rf) (vitamina B2), en combinación con UV/H2O2 fue estudiado frente a la degradación del pesticida Monurón (Chan y Chu, 2009). Los autores reportaron que esta combinación, UV/Rf/H2O2, exhibió significativamente un rendimiento mejorado casi cinco veces más rápido que la fotolisis UV convencional.
La utilización de fotosensibilizadores no se limita sólo a la absorción UV, esta puede
extenderse a la iluminación solar. En otro trabajo, Fenoll et al. (2012) llevaron a cabo la
degradación fotocatalı́tica de diversos plaguicidas en presencia de ZnO/Na2S2O8, los cuales actuaron como fotosensibilizadores, ası́ como oxidantes bajo la luz solar natural.
Se ha observado una alta degradación de todos los plaguicidas ensayados en el estudio
en comparación a los resultados en ausencia del fotosensibilizador. Por otro lado, diferentes
autores han descrito la capacidad de los ácidos húmicos como fotosensibilizadores reportando
la fotodegradación mejorada de fenoles ricos en electrones en presencia de ácidos húmicos
(Canonica y Freiburghaus, 2001). Además, el aumento de la fotodegradación de monurón
y fenuron, fotosensibilizados por sustancias húmicas extraı́das del suelo, también ha sido
reportado por Aguer y colaboradores, (Aguer et al., 2000; Aguer y Richard, 1996). A continuación, se presenta la tabla 1 con una lista de fotosensibilizadores aplicados a la
degradación de diferentes pesticidas:
En los procesos de oxidación fotocatalı́tica, los pesticidas se destruyen en presencia de materiales semiconductores conocidos como fotocatalizadores (por ejemplo, TiO2, ZnO), una fuente de luz energética, y un agente oxidante tal como oxı́geno o aire. Como se ilustra en la Figura 3, solo los fotones con energı́as mayores que la energı́a de la brecha energética (energy band gap, ∆E) pueden dar lugar a la excitación de electrones de la banda de valencia (BV) del material, los cuales luego promueven las posibles reacciones con los contaminantes (Silvalingam et al., 2004; Zmudzinski et al., 2007).
La absorción de fotones con energı́a inferior a la del ∆E o mayores que las longitudes de
onda, generalmente causa la disipación de energı́a en forma de calor. La iluminación de la
superficie fotocatalı́tica con suficiente energı́a, conduce a la formación de un agujero positivo
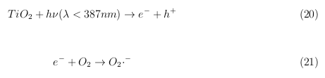
(H+) en la banda de valencia y un electrón (e-) en la banda de conducción (BC). El hueco positivo oxida, ya sea directamente, el contaminante o agua para producir el radical hidroxilo ·OH, mientras que el electrón en la banda de conducción reduce el oxı́geno adsorbido en el fotocatalizador. La activación de TiO2, por ejemplo, por la luz UV se puede representar mediante las siguientes etapas.
La activación de TiO2, por ejemplo, por la luz UV se puede representar mediante las
siguientes etapas:
En esta reacción, el par h+ y e son potentes agentes oxidantes y reductores, respectivamente. Los pasos de reacción oxidativa y reductiva pueden ser expresados por la siguiente figura 3.
Figura 3: Diagrama esquemático que ilustra el principio de la fotocatálisis con TiO2
Fuente: Vargas et al. (2021).
La generación de radicales hidroxilo por el proceso de oxidación fotocatalı́tica se muestra en los pasos anteriores. En la degradación de contaminantes orgánicos, el radical hidroxilo ·OH generado a partir de la oxidación del agua adsorbida es el oxidante primario y la presencia de oxı́geno puede prevenir la recombinación de un par electrón-hueco. El ·OH ataca ası́ los compuestos orgánicos, por ejemplo, compuestos aromáticos clorados, anilina, nitrofenoles, entre otros, los cuales dan lugar a diferentes productos intermedios de reacción dependiendo de la naturaleza de los compuestos. Los productos intermedios resultantes reaccionan con más ·OH para producir productos finales de degradación tales como CO2 y H2O.
En la degradación fotocatalı́tica de los contaminantes, cuando el proceso de reducción de
oxı́geno y la oxidación de los contaminantes no avanzan simultáneamente, hay una acumulación de electrones en la BC, lo que provoca un aumento en la tasa de recombinación de e− y h+ (Herrmann, 1999; Hoffmann et al., 1995). Por lo tanto, esto es de suma importancia para evitar la acumulación de electrones en la oxidación fotocatalı́tica eficaz. En la fotocatálisis, el TiO2 es, con mucho, el sistema más ampliamente estudiado debido a su alta actividad, propiedades fı́sicas y quı́micas deseables, bajo costo y alta disponibilidad. De las tres formas cristalinas comunes del TiO2, las formas anatasa y rutilo se han investigado extensamente como fotocatalizadores.
La anatasa ha sido reportada como la fase más activa como un fotocatalizador que la fase
rutilo. Vı́as de oxidación similares a los de TiO2 se confirman en fotocatalizadores de ZnO, incluyendo la formación del radical ·OH y la oxidación directa por huecos fotogenerados. El ZnO se reportó que posee una reactividad similar y comparable a la TiO2 bajo la luz solar. La alta actividad del ZnO es atribuida a que el energy band gap del material es similar al de TiO2, es decir, 3,2 eV. Algunos otros óxidos metálicos que incluyen CeO2 , SnO2, WO3 y CdS también han sido examinados por la degradación de contaminantes orgánicos (Swarnalatha y Anjaneyulu, 2004; L. Zhang et al., 2009). Diferentes fuentes de radiación tales como lámparas UV y la radiación solar se han utilizado en la degradación fotocatalı́tica de diversos pesticidas y herbicidas en efluentes de aguas residuales (Bahnemann et al., 2007; Lachheb et al., 2008).
Basándose en estos principios, una amplia gama de pesticidas ha sido tratado por
degradación fotocatalı́tica. De hecho, existen una gran variedad de materiales semiconductores (ZnO, CuO, TiO2 y WO23) para ser utilizados con fines fotocatalı́ticos. Entre ellos, el dióxido de titanio se ha empleado más extensamente debido a sus propiedades catalı́ticas favorables, siendo la fase anatasa la más ampliamente empleada debido a las caracterı́sticas antes mencionadas.
Los pesticidas organoclorados (POC) han sido tratados por el método de fotocatálisis. En
este sentido, se ha reportado la degradación fotocatalı́tica del Dicofol sobre nanopartı́culas de TiO2 (TiO2-NPs) bajo irradiación con luz UV (Yu et al., 2008). Los autores reportaron que el Dicofol podı́a degradarse completamente en iones de cloruro inorgánico obteniendo una alta eficiencia en la mineralización. Teniendo en cuenta que los fotocatalizadores de dióxido de titanio, están comercialmente disponibles bajo diferentes nombres comerciales: Degussa P25, Millennium PC 500, etc. Madani y colaboradores, llevaron a cabo un estudio para comparar la actividad de los dos productos comerciales de anatasa antes mencionados, utilizando el pesticida Diurón como modelo. Los resultados obtenidos por los investigadores mostraron que el material Degussa P25 fue más eficiente en la actividad que Milenio PC 500 (Madani et al., 2006).
Aunque la fotocatálisis se muestra como una excelente metodologı́a para la eliminación de
pesticidas, el uso TiO2 está limitado para aplicaciones comerciales debido a su alta actividad en el rango UV en relación a la luz solar natural. Por lo tanto, muchos investigadores han indagado la posible ampliación de su rango de absorción en la región visible (por ejemplo, a través de modificaciones estructurales, dopaje de superficie, entre otros). Por otro lado, la recombinación de electrones excitados y el hueco debe ser controlado e inhibida debido a que es otro factor limitante en el proceso de fotocatálisis. En este sentido, otras opciones, como el dopaje con metal/no metal y otros tipos de modificaciones en la superficie, han sido estudiados para mejorar la actividad fotocatalı́tica de materiales semiconductores.
Bajo esta premisa, Senthilnathan y Philip (2010) reportan en uso TiO2 dopado con compuestos que contienen nitrógeno (especı́ficamente trimetilamina). Los autores obtuvieron que dicho dopaje lleva a un aumento en la degradación del plaguicida Lindano. Sin embargo, está ampliamente aceptado que el dopaje con metales es más eficaz en el cambio del rango de absorbancia a una región visible con respecto al óxido de titanio dopado con no metales. Por lo tanto, una gran variedad de compuestos de óxido de titanio dopado con metal (es decir, catalizadores dopados con metales de transición) han sido preparados y estudiados a fin de determinar su capacidad de degradación contra el pesticida Clorpirifos. De lo reportado en la literatura, se ha encontrado que ciertos metales (V, Mo, Th, etc.) demostraron una mayor eficiencia en la degradación con respecto al óxido de titanio sin dopar bajo iluminación solar. Sin embargo, cuando los mismos catalizadores estaban sujetos a la degradación de pesticidas bajo la radiación UV, el material no dopado exhibió un rendimiento superior sobre TiO2 con V, Mo, y Th (Gomathi et al., 2009).
En este orden de ideas, varios dopantes usados, por ejemplo, Sn (Fresno et al., 2005), Ag y Pd (Liqiang et al., 2006), Re (L. Zhang et al., 2009), Bi3+ (Rengaraj et al., 2005), V5+, Mo6+ y Th4+ (Devi y Murthy, 2008, 2009), Pt6+ (Katsumata et al., 2009), demostraron aumentar sustancialmente la actividad fotocatalı́tica de los sistemas examinados. Sin embargo, la fotoactividad del fotocatalizador TiO2 dopado con metales depende en gran medida de la naturaleza del ion dopante y la concentración del mismo, ası́ como la metodologı́a de preparación y las condiciones de funcionamiento (Dvoranova et al., 2002).
Resultados tanto positivos como negativos se han registrado en el dopaje con iones metálicos. Se desea que la depositación de los iones metálicos en TiO2 pueda modificar las propiedades fotoconductoras mediante el aumento de la eficiencia de separación de carga entre electrones y huecos. El aumento en la eficiencia de separación de carga mejorará la formación de los radicales hidroxilos y especies reactivas de oxı́geno (Kato et al., 2005). En contraste, la actividad fotocatalı́tica con metales dopados se ve empañada por una inestabilidad térmica y recombinación de electrones y huecos fotogenerados (Bouras et al., 2007). Las concentraciones de dopado, junto con un resumen de los pesticidas degradados usando un catalizador modificados a través del dopaje se muestran en la tabla 2. Como ha sido mencionado anteriormente además del dióxido de titanio, muchos otros materiales semiconductores han sido utilizados como fotocatalizadores (ZnO, WO3, etc) en el tratamiento de pesticidas.
Fuente: Elaboración propia.
En otro trabajo, la degradación basada en ZnO para degradar Diazinion en solución acuosa se estudió bajo irradiación UV (Daneshvar et al., 2007). Con el fin de mejorar la actividad fotocatalı́tica, se llevó a cabo el dopaje de ZnO con Lantano. Este dopaje dio lugar a disminuciones en el tamaño de partı́cula y aumento del área superficial. Como resultado, la degradación fotocatalı́tica de insecticidas monocrotofos (inhibidores del sistema endocrino) aumentó notablemente, en comparación con el material no dopado (Anandan et al., 2007).
La fotodegradación utilizando WO3 para degradar Monurón también ha demostrado ser eficaz en presencia de irradiación solar (Chu y Rao, 2012). En una fotocatálisis tı́pica, varios factores influyen en el rendimiento de la reacción, por ejemplo: concentración de catalizador,
pH, temperatura, luz de irradiación, presencia de oxidantes, entre otras. De acuerdo con esto, los efectos de diversos factores en la degradación de Metamidofos (pesticida organofosforado) fueron examinados usando TiO2 como fotocatalizador (L. Zhang et al., 2006). Los autores reportaron que la concentración de catalizador apropiada debe ser optimizada con la selección de una longitud de onda adecuada. Los medios alcalinos favorecieron la velocidad de reacción, y la adición de oxidantes (como H2O2, KBrO, Fe3+ y Cu2+) aceleraron la velocidad dereacción. Por otro lado, los iones como (Na+, K+, Ca+2, y Zn2+) o aniones (como Cl− y Br−) no mostraron ningún efecto sobre la degradación de metamidofos.
Un gran esfuerzo también se ha hecho para modificar la aplicabilidad de las técnicas convencionales fotocatalı́ticas. Tal modificación incluye la ozonización fotocatalı́tica (O3/TiO2/UV). Un estudio de degradación de los insecticidas neonicotinoides (Tiacloprid e Imidacloprid) se llevó a cabo en soluciones acuosas. En un ensayo de estabilidad preliminar, el Tiacloprid mostró una mayor fotoestabilidad en comparación con el Imidacloprid. Un estudio detallado se llevó a cabo para evaluar la idoneidad de los diversos tratamientos para la degradación y mineralización de Tiacloprid en agua bajo condiciones variadas de pH y dosis de ozono (Černigoj et al., 2007). Estos autores evaluaron el estudio de ozonización (O3) y tres procesos fotoquı́micos diferentes de oxidación avanzada, tales como ozonización junto con radiación UV (O3/UV), O3/TiO2/UV, y O2/TiO2/UV. Se aplicó la radiación del rango UV-A en los tres procesos.
La ozonización fotocatalı́tica (O3/TiO2/UV) se encontró que era el proceso más eficiente, independientemente de las condiciones de pH. El efecto sinérgico de ozono y la fotocatálisis con TiO2 era evidente a pH ácido y neutro, pero tal fenómeno se perdió a pH básico, probablemente debido a la rápida auto-descomposición del ozono bajo condiciones alcalinas. A pH ácido, la oxidación de aniones cloruro en clorato (V) fue también observada, la cual en efecto obstaculizó la eficiencia de degradación. Es ası́ como la fotocatálisis ahora se utiliza ampliamente como un método fotoquı́mico de degradación (Kabra et al., 2004). Por otro lado, a pesar de que la fotocatálisis posee ciertas limitaciones (por ejemplo, recombinación), sus principales ventajas son reconocidas debido a la operación simple, la viabilidad económica y la alta capacidad de reciclaje, ya que el catalizador se puede usar repetidamente con una muy ligera disminución en la actividad catalı́tica por cada uso.
Otra forma de mejorar la respuesta espectral de los semiconductores es a través de la sensibilización del semiconductor con moléculas que absorban radiación visible y sean capaces de, en su estado excitado, inyectar electrones en la banda de conducción, mediante un complejo de carga superficial (conocida como “MLCT”, por sus siglas en inglés: Metal-To-Ligand Charge Transfer (H. Wang et al., 2000).
Este ha sido un campo de fructı́fera investigación, iniciada por el grupo de AJ Bard
en la década de 1980, con la sensibilización espectral mediante ftalocianinas (Alnaizy y
Akgerman, 2000). El objetivo de estos estudios consiste en encontrar la molécula que permita
una mayor eficiencia en la conversión de energı́a solar. A este respecto, la sensibilización en
el visible se ha logrado usando complejos de Zn(II) (Lana-Villarreal et al., 2005), derivados
fosforados de prolina (Hoffmann et al., 1995), complejos de Pt(II) (Santato et al., 2001), catecol (H. Wang et al., 2000), derivados de fluoresceı́na y antraceno (Chu y Rao, 2012), tionina, enedioles o ácido salicı́lico (Dobosz y Sobczynski, 2003). Se ha logrado sensibilizar al TiO2 en la zona del IR cercano mediante el empleo de ftalocianinas modificadas (Sobczynski et al., 2004).
Uno de los primeros trabajos en fotocatálisis con sensibilización fue el de Ross y
colaboradores, que demostraron la degradación de un herbicida con TiO2 sensibilizado con Rosa de Bengala, aunque el proceso está limitado por la propia degradación del colorante
que ocurre a la vez que la del herbicida (degradación no regenerativa) (Zmudzinski et al., 2007).
Por otra parte, Monllor-Satoca y colaboradores, comprobaron la mineralización de varios
contaminantes orgánicos (fenol, clorofenol, 1,2-dicloroetano, tricloroetileno) usando óxido de
titanio modificado con tionina y eosina (Monllor-Satoca et al., 2006). Con este mismo sistema,
evidenciaron la formación de radicales superóxido en la fotodegradación de antracina (Waldner
et al., 2007). Igualmente, empleando TiO2 modificado con azul de metileno y rodamina B, degradaron diferentes compuestos orgánicos (Gerischer y Heller, 1991). Se ha usado una amplia
gama de colorantes con TiO2 para demostrar la degradación de diferentes fenoles clorados
(Rao y Chu, 2009).
La importancia de la fotoquı́mica aplicada a pesticidas encontrados en el medio ambiente ha sido ampliamente demostrada. La aparición de los métodos fotoquı́micos ha ofrecido una posible solución a la mineralización completa de pesticidas en los principales medios ambientales con mayores eficiencias y menores costos que las metodologı́as convencionales. Sin embargo, serı́a conveniente mencionar que los estudios más experimentales hasta la fecha se han dirigido hacia las condiciones relacionadas con el agua. De hecho, hay una gama de criterios fotoquı́micos que se pueden emplear en base a los requisitos y necesidades de la misma.
Abramović, B., Banić, N. y D., Š. (2010). Degradation of thiacloprid in aqueous solution by
UV and UV/H2O2 treatments. Chemosphere, 81, 114-119.
Aguer, J., Cox, L., Richard, C., Hermosin, M. y Cornejo, J. (2000). Sorption and photolysis
studies in soil and sediment of the herbicide napropamide. Journal of Environmental
Science and Health, Part B, 5, 725-738.
Aguer, J. y Richard, C. (1996). Transformation of fenuron induced by excitation of humic acid.
Pesticide Science, 46, 151-155.
Alleva, E., Francia, N., Pandolfi, M., De Marinis, A., Chiarotti, F. y Santucci, D.
(2006). Organochlorine and heavy-metal contaminants in wild mammals and birds of
Urbino-Pesaro province, Italy: An analytic overview for potential bioindicators. Archives
of Environmental Contamination and Toxicology, 51 (1), 123-134. https://doi.org/10.
1007/s00244-005-0218-1
Alnaizy, R. y Akgerman, A. (2000). Advanced oxidation of phenolic compounds. Advances in
Environmental Research, 4, 233-244.
Anandan, S., Vinu, A., Lovely, K., Gokulakrishnan, N., Srinivasu, P., Mori, T. y Ariga, K.
(2007). Photocatalytic activity of La-doped ZnO for the degradation of monocrotophos
in aqueous suspension. Journal of Molecular Catalysis A: Chemical, 266 (1), 148-157.
Arroyave, J. y Garcés, L. (2006). Tecnologı́as Ambientalmente Sostenibles. Rev. Producción +
Limpia, (1), 79-86.
Arroyave, J., Garcés, L. y Cruz, A. (2011). Comparación de tecnologı́as de oxidación (TAO´s)
para la degradación del pesticida Mertect. Nova, 9 (15), 35-40. https://doi.org/10.22490/24629448.487
Bahnemann, W., Muneer, M. y Haque, M. (2007). Titanium dioxide-mediated photocatalysed
degradation of few selected organic pollutants in aqueous suspensions. Catalysis Today,
124, 133-148.
Ballesteros, M., Sánchez, J., Casas, J., Oller, I. y Malato, S. (2009). Degradation of a
four-pesticide mixture by combined photo Fenton and biological oxidation. Water
Research, 43 (3), 653-660.
Batista, A. y Pupo, R. (2012). Parameters affecting sulfonamide photo-Fenton degradation
Iron complexation and substituent group. Journal of Photochemistry and Photobiology
A: Chemistry, 232, 8-13.
Bouras, P., Stathatos, E. y Lianos, P. (2007). Pure versus metal-ion-doped nanocrystalline
titania for photocatalysis. Applied Catalysis B: Environmental Journal, 73 (1), 51-59.
Caldas, E., Coelho, R., Souza, L. y Silva, S. (1999). Organochlorine pesticides in water,
sediment, and fish of Paranoa Lake of Brasilia, Brazil. Bulletin of Environmental
Contamination and Toxicology, 2, 199-206.
Canonica, S. y Freiburghaus, M. (2001). Electron-rich phenols for probing the photochemical
reactivity of freshwaters. Environmental Science Technology, 35, 690-695.
Cao, Y., Tan, H., Shi, T., Tang, T. y Li, L. (2008). Preparation of Ag-doped TiO2 nano particles
of photocatalytic degradation of acetamiprid in water. Journal of Chemical Technology
& Biotechnology, 83, 546-552.
Cárdenas, S., Marquez, A., Guevara, E. y Rey, D. (2018). Caracterización de plaguicidas
organoclorados en agua y sedimentos en el rı́o Tucutunemo, Venezuela. Tecnologı́a y
ciencias del agua, 9 (5), 131-169. https://doi.org/10.24850/j-tyca-2018-05-06
Carter, S., Stefan, M., Bolton, J. y Amiri, A. (2000). UV/H2O2 Treatment of methyl tert-butyl
ether in contaminated waters. Environmental Science & Technology, 34, 659-662.
Černigoj, U., Štangar, U. y Trebše, P. (2007). Degradation of neonicotinoid insecticides
by different advanced oxidation processes and studying the effect of ozone on TiO2
photocatalysis. Applied Catalysis B-Environmental Journal, 75 (3), 229-238.
Chan, K. y Chu, W. (2009). Riboflavin-sensitized photooxidation of phenylurea herbicide
monuron in aqueous peroxide solution. Chemical Engineering Journal, 152, 103-109.
Chelme-Ayala, P., El-Din, M. y Smith, D. (2010). Degradation of bromoxynil and trifluralin
in natural water by direct photolysis and UV plus H2O2 advanced oxidation process.
Water Research, 44, 2221-2228.
Chen, H., Ku, Y. y Kuo, Y. (2007). Effect of Pt/TiO2 characteristics on temporal behavior
of o-cresol decomposition by visible light-induced photocatalysis. Water Research, 41,
2069-2078.
Chu, W. y Rao, Y. (2012). Photocatalytic oxidation of monuron in the suspension of WO3
under the irradiation of UV–visible light. Chemosphere, 86 (11), 1079-1086.
Colabuono, F., Taniguchi, S. y Montone, R. (2010). Polychlorinated biphenyls and
organochlorine pesticides in plastics ingested by seabirds. Marine Pollution Bulletin,
60 (4), 630-634. https://doi.org/10.1016/j.marpolbul.2010.01
Crank, G. y Mursyidi, A. (1992). Oxidations of thioureas with photochemically generated singlet
oxygen. Journal of Photochemistry and Photobiology A: Chemistry, 64 (3), 263-271.
Daneshvar, N., Aber, S., SeyedDorraji, M., Khataee, A. y Rasoulifard, M. (2007). Photocatalytic
degradation of the insecticide diazinon in the presence of prepared nanocrystalline ZnO
powders under irradiation of UV-C light. Separation and Purification Technology, 58,
91-98.
Devi, L. y Murthy, B. (2008). Characterization of Mo doped TiO2 and its enhanced
photocatalytic activity under visible light. Catalysis Letter, 215, 320-330.
Devi, L. y Murthy, B. (2009). Structural characterization of Th-doped TiO2 photocatalyst and
its extension of response to solar light for photocatalytic oxidation of Oryzalin pesticide:
a comparative study. Central European Journal of Chemistry, 7 (1), 118-129.
Dobosz, A. y Sobczynski, A. (2003). The influence of silver additives on titania photoactivity
in the photooxidation of phenol. Water Research, 37, 1489-1496.
Domenech, X., Wilson, F., Jardim, W. y M., L. (2004). Procesos avanzados de oxidación para
la eliminación de contaminantes. En M. Blesa y B. Sánchez (Eds.), Eliminación de
contaminantes por fotocatálisis heterogénea. Colección Documentos Ciemat.
Dvoranova, D., Brezova, V., Mazur, M. y Malati, M. (2002). Investigations of metal doped
titanium dioxide photocatalysts. Applied Catalysis B: Environmental Journal, 37,
91-105.
El Azzouzi, M., Bensaoud, A., Bouhaouss, A., Guittonneau, S., Dahchour, A., Meallier, P. y
Piccolo, A. (1999). Photodegradation of imazapyr in the presence of humic substances. Fresenius Environmental Bulletin and Advances in Food, 8, 478-485.
Farre, M., Maldonado, M., Gernjak, W., Oller, I., Malato, X., S.and Domènech y Peral, J.
(2008). Coupled solar photo-Fenton and biological treatment for the degradation of
diuron and linuron herbicides at pilot scale. Chemosphere, 7 (4), 622-629.
Fenoll, J., Hellı́n, P., Martı́nez, C., Flores, P. y Navarro, S. (2012). Semiconductor
oxides-sensitized photodegradation of fenamiphos in leaching water under natural
sunlight. Applied Catalysis B: Environmental Journal, 3, 31-37.
Fresno, F., Guillard, C., Coronado, J., Chovelon, J., Tudela, D., Soria, J. y Herrmann, J.
(2005). Photocatalytic degradation of a sulfonylurea herbicide over pure and tindoped
TiO2 photocatalysis. Journal of Photochemistry and Photobiology A: Chemistry, 173,
13-20.
Galadi, A. y Julliard, M. (1996). Photosensitized oxidative degradation of pesticides.
Chemosphere, 33, 1-15.
Galindo, F., Gomez, R. y Aguilar, M. (2008). Photodegradation of the herbicide 2,4-
dichlorophenoxyacetic acid on nanocrystalline TiO2 - CeO2 sol-gel catalyst. Journal
of Molecular Catalysis A: Chemical, 281, 119-125.
Garcés, L. (2005). Cinética de degradación y mineralización del colorante naranja reactivo 84
en aguas. Revista Lasallista de Investigación, 2, 21-25.
Garcés, L., Hernández, M., Peñuela, G., Rodrı́guez, A. y Salazar, J. (2005). Degradación de
aguas residuales de la industria textil por medio de fotocatálisis. Revista Lasallista de
Investigación, 2, 15-18.
Gerischer, H. y Heller, A. (1991). The role of oxygen in photooxidation of organic molecules on
semiconductor particles. J. Phys. Chem., 95, 5261-5267.
Ghosh, P., Samanta, A. y Ray, S. (2010). COD reduction of petrochemical industry wastewater
using Fenton’s oxidation. The Canadian Journal of Chemical Engineering, 6, 1021-1026.
Golfinopoulos, S., Nikolaou, A., Kostopoulou, M., Xilourgidis, N., Vagi, M. y Lekkas, D. (2003).
Organochlorine pesticides in the surface waters of Northern Greece. Chemosphere, 4,
507-516.
Gomathi, D., Narasimha, M. y Girish, K. (2009). Photocatalytic activity of V5+, Mo6+ and Th4+ doped polycrystalline TiO2 for the degradation of chlorpyrifos under UV/solar
light. Journal of Molecular Catalysis A: Chemical, 1308 (1), 174-181.
Guo, Y., Meng, X., Tang, H. y Zeng, E. (2008). Tissue distribution of organochlorine pesticides
in fish collected from the Pearl River Delta, China: Implications for fishery input source
and bioaccumulation. Environmental Pollution, 1, 150-156.
Halladja, S., Amine-Khodja, A., Halle, T., Boulkamh, A. y Richard, C. (2007). Photolysis of
fluometuron in the presence of natural water constituents. Chemosphere, 69, 1647-1654.
Haraguchi, K., Kitamura, E., Yamashita, T. y Kido, A. (1994). Simultaneous determination of
trace pesticides in urban air. Atmospheric Enviroment, 7, 1319-1325.
Herrmann, J. (1999). Heterogeneous photocatalysis: fundamentals and applications to the
removal of various types of aqueous pollutants. Catalysis Today, 53, 115-129.
Hoffmann, M., Martin, S., Choi, W. y Bahnemann, D. (1995). Environmental Applications of
Semiconductor Photocatalysis. Chemical Review, 95, 69-96.
Hustert, K., Moza, P. y Kettrup, A. (1999). Photochemical degradation of carboxin and
oxycarboxin in the presence of humic substances and soil. Chemosphere, 38, 3423-3429.
Jayaraj, R., Megha, P. y Sreedev, P. (2016). Organochlorine pesticides, their toxic effects on
living organisms and their fate in the environment. Interdisciplinary Toxicology, 9 (3-4),
90-100. https://doi.org/10.1515/intox-2016-0012
Jonsson, M., Lind, J., Reitberger, T., Eriksen, T. y Merényi, G. (1993). Free radical combination
reactions involving phenoxyl radicals. Journal of Physical Chemistry A, 97, 8229-8233.
Mongar, K. y Miller, G. (1988). Vapor phase photolysis of trifluralin in an outdoor chamber.
Chemosphere, 17, 2183-2188.
Kabra, K., Chaudhary, R. y Sawhney, R. (2004). Treatment of hazardous organic and inorganic
compounds through aqueous-phase photocatalysis: A review. Industrial & Engineering
Chemistry Research, 43 (24), 7683-7696.
Kalyabina, V., Esimbekova, E., Kopylova, K. y Kratasyuk, V. (2021). Toxicology Reports.
Pesticides: formulants, distribution pathways and effects on human health – a review, 8,
1179-1192. https://doi.org/10.1016/j.toxrep.2021.06.004
Kamiya, M., Kameyama, K. y Ishiwata, S. (2001). Effects of cyclodextrins on photodegradation
of organophosphorus pesticides in humic water. Chemosphere, 42, 251-255.
Kato, S., Hirano, Y., Iwata, M., Sano, T., Takeuchi, K. y Matsuzawa, S. (2005). Photocatalytic
degradation of gaseous sulphur compounds by silver-deposited titanium dioxide. Applied
Catalysis B: Environmental Journal, 57, 109-115.
Katsumata, H., Sad, M., Nakaoka, Y., Kaneco, S., Suzuki, T. y Ohta, K. (2009). Photocatalytic
degradation of diuron in aqueous solution by platinized TiO2. Journal of Hazardous
Materials, 171 (1), 1081-1087.
Kavitha, V. y Palanivelu, K. (2004). The role of ferrous ion in Fenton and photo-Fenton
processes for the degradation of phenol. Chemosphere, 55 (9), 1235-1243.
Kearney, P., Muldoon, M. y Somich, C. (1987). UV-ozonation of eleven major pesticides as a
waste disposal pretreatment. Chemosphere, 10, 2321-2330.
Kennedy, J. y Pottier, P. (1992). New trends in photobiology: endogenous protoporphyrin IX,
a clinically useful photosensitizer for photodynamic therapy. Journal of Photochemistry
and Photobiology B: Biology, 14 (4), 275-292.
Kohler, H. y Triebskorn, R. (2013). Wildlife Ecotoxicology of Pesticides: Can We Track Effects
to the Population Level and Beyond? Science, 341 (6147), 759-765. https://doi.org/10.
1126/science.1237591
Korte, F., Kostantinova, T., Mansour, M., Ilieva, P. y Bogdanova, A. (1997). On the
photodegradation of some unsaturated triazine derivatives with herbicide and bactericide
activity. Chemosphere, 35, 51-54.
Kundu, S., Pal, A. y Dikshit, A. (2005). UV induced degradation of herbicide 2, 4-D:
kinetics, mechanism and effect of various conditions on the degradation. Separation and
purification technology, 2, 121-129.
Lachheb, H., Houas, A. y Herrmann, J. (2008). Photocatalytic degradation of polynitrophenols
on various commercial suspended or deposited titania catalyst using artificial and solar
light. International Journal of Photoenergy. https://doi.org/1155/2008/497895
Lam, M., Tantuco, K. y Mabury, S. (2003). A New Approach in Accounting for the
Contribution of Indirect Photolysis of Pesticides and Pharmaceuticals in Surface Waters.
Environmental Science & Technology, 5, 899-907.
Lambropoulou, D., Konstantinou, I., Albanis, T. y Fernández, A. (2011). Photocatalytic
degradation of the fungicide Fenhexamid in aqueous TiO2 suspensions: Identification
of intermediates products and reaction pathways. Chemosphere, 83 (3), 367-378. https:
//doi.org/10.1016/j.chemosphere.2010.1
Lana-Villarreal, T., Rodes, A., Perez, J. y Gomez, R. (2005). A Spectroscopic and
Electrochemical Approach to the Study of the Interactions and Photoinduced Electron
Transfer between Catechol and Anatase Nanoparticles in Aqueous Solution. Journal of
American Chemical Society, 127, 12601-12611.
Lin, Y., Lin, C., Yeh, K. y Lee, A. (2000). Bull. Environ. Contam. Toxicol. Bulletin of
Environmental Contamination and Toxicology, 64, 780-785.
Liqiang, J., Dejun, W., Baiqi, W., Shudan, L., Baifu, X., Honggang, F. y Jiazhong, S. (2006).
Effects of noble metal modification on surface oxygen composition, charge separation
and photocatalytic activity of ZnO nanoparticles. Journal of Molecular Catalysis A:
Chemical, 244, 193-200.
Lopez, J., Garcı́a, F., González, M., Capparelli, A., Oliveros, E., Hashem, T. y Braun, A.
(2000). Hydroxyl radical initiated photodegradation of 4-chloro-3,5-dinitrobenzoic acid
in aqueous solution. Journal of Photochemistry and Photobiology A: Chemistry, 137,
177-184.
Luo, X., Mai, B., Yang, Q., Fu, J., Sheng, G. y Wang, Z. (2004). Polycyclic aromatic
hydrocarbons (PAHs) and organochlorine pesticides in water columns from the Pearl
River and the Macao harbor in the Pearl River Delta in South China. Marine Pollution
Bulletin, 11, 1102-1115.
Lushchak, V., Matviishyn, T., Husak, V., Storey, J. y Storey, K. (2018). Pesticide toxicity:
a mechanistic approach. EXCLI Journal, 17, 1101-1136. https : / / doi . org / 10 . 17179 /
excli2018-1710
Madani, M., Guillard, C., Pérol, N., Chovelon, J., Azzouzi, M., Zrineh, A. y Herrmann, J.
(2006). Photocatalytic degradation of diuron in aqueous solution in presence of two
industrial titania catalysts, either as suspended powders or deposited on flexible
industrial photoresistant papers. Applied Catalysis B-Environmental Journal, 65 (1),
70-76.
Mill, T. (1999). Predicting photoreaction rates in surface waters. Chemosphere, 38, 1379-1390.
Mohan, J., Mudaliar, M., Aravindakumar, C., Madhav, B. y Mittal, J. (1991). Studies on
structure–reactivity in the reaction of OH radicals with substituted halobenzenes in
aqueous solutions. Journal of the Chemical Society Perkin Transactions, 2, 1387-1392.
Monllor-Satoca, D., Borja, L., Rodes, A., Gomez, R. y Salvador, P. (2006). Photoelectrochemical
behavior of nanostructured WO3 thin-film electrodes: The oxidation of formic acid.
Chem. Phys. Chem., 7, 2540-2551.
Morris, A., Muir, D., Solomon, K., Letcher, R., McKinney, M., Fisk, A. y Duric, M. (2016).
Current-use pesticides in seawater and their bioaccumulation in polar bear-ringed seal
food chains of the Canadian Arctic. Environmental Toxicology and Chemistry, 35 (7),
1695-1707. https://doi.org/10.1002/etc.3427
Moza, P., Hustert, K., Feicht, E. y Kettrup, A. (1998). Photolysis of imidacloprid in aqueous
solution. Chemosphere, 36, 497-502.
Muñoz, A., Person, A., Calvé, S., Mellouki, A., Borrás, E., Daële, V. y Vera, T. (2011).
Studies on atmospheric degradation of diazinon in the EUPHORE simulation chamber.
Chemosphere, 5, 724-730.
Neyens, E. y Baeyens, J. (2003). A review of classic Fenton’s peroxidation as an advanced
oxidation technique. Journal of Hazardous Materials, 1 (3), 33-50.
Nienow, A., Bezares-Cruz, J., Poyer, I., Hua, I. y Jafvert, C. (2008). Hydrogen peroxide-assisted
UV photodegradation of Lindane. Chemosphere, 11, 1700-1705.
Nowakowska, M., Sterzel, M., Zapotoczny, S. y Kot, E. (2005). Photosensitized degradation
of ethyl parathion pesticide in aqueous solution of anthracene modified photoactive
dextran. Applied Catalysis B: Environmental Journal, 57, 1-8.
Ontario Ministry of Agriculture and Food (OMAF). (1991). Grower Pesticide Safety Course.
Pajares, A., Gianotti, J., Haggi, E., Stettler, G., Amat-Guerri, F., Criado, S., Miskoski, S.
y Garcı́a, N. (1998). Kinetic study of the singlet molecular oxygen-mediated
photodegradation of monohydroxylated n-heteroaromatic compounds. Journal of
Photochemistry and Photobiology A: Chemistry, 119, 9-14.
Pérez, J. y Merino, M. (2015). Definición de pesticida. http://definicion.de/pesticida/
Pignatello, J., Oliveros, E. y MacKay, A. (2006). Advanced Oxidation Processes for Organic
Contaminant Destruction Based on the Fenton Reaction and Related Chemistry. Critical
Reviews in Environmental Science and Technology, 1, 1-84.
Rao, Y. y Chu, W. (2009). A new approach to quantify the degradation kinetics of linuron with
UV, ozonation and UV/O3 processes. Chemosphere, 74, 1444-1449.
Rengaraj, S., Li, X., Tanner, P., Pan, Z. y Pang, G. (2005). Photocatalytic degradation of
methylparathion e an endocrine disruptor by Bi3+ - doped TiO2. Journal of Molecular
Catalysis A: Chemical, 247, 36-43.
Richard, C. y Canonica, S. (2005). Environmental Photochemistry Part II. En P. Boule, D.
Bahnemann y P. Robertson (Eds.), Handbook of Environmental Chemistry (pp. 299-323).
Springer.
Rojas, M. y Espinosa, C. (2015). Contaminantes quı́micos en agua y aire en Venezuela
(2006-2013). Salus, 19 (2), 46-54.
Rupa, D., Reddy, P. y Reddi, O. (1991). Reproductive performance in population exposed to
pesticides in cotton fields in India. Environmental Research, 2, 123-128.
Sailaja, N., Chandrasekhar, M., Rekhadevi, P., Mahboob, M., Rahman, M., Vuyyuri, S. y
Grover, P. (2006). Genotoxic evaluation of workers employed in pesticide production.
Mutation Research - Genetic Toxicology, 8, 75-80.
Santato, C., Ulmann, M. y Augustynski, J. (2001). Enhanced Visible Light Conversion
Efficiency Using Nanocrystalline WO3 Films. Advanced Materials, 13, 511-514.
Senthilnathan, J. y Philip, L. (2010). Photocatalytic degradation of lindane under UV and
visible light using N-doped TiO2. Chemical Engineering Journal. https://doi.org/10.
1016/j.cej.2010.04.034
Silva, M., Burro, H., Miguel, M. y Formosinho, S. (1996). Tris-2-29-bipyridylruthenium (II)
peroxydisulphate as a photosensitizer in the oxidative degradation of 4-chlorophenol.
Physical Chemistry, 100, 138-143.
Silva, M., Trovó, A. y Nogueira, R. (2007). Degradation of the herbicide tebuthiuron using
solar photo-Fenton process and ferric citrate complex at circumneutral pH. Journal of
Photochemistry and Photobiology A: Chemistry, 91, 187-192.
Silvalingam, G., Priya, M. y Madras, G. (2004). Kinetics of the photodegradation of substituted
phenols by solution combustion synthesized TiO2. Applied Catalysis B-Environmental
Journal, 51, 67-76.
Sobczynski, A., Duczmal, L. y Zmudzinski, W. (2004). Phenol destruction by photocatalysis
on TiO2: an attempt to solve the reaction mechanism. Journal of Molecular Catalysis
A: Chemical, 213, 225-230.
Šojić, D., Despotovic, V., Abazovic, N., Mirjana, I., Comor, M. y Abramovic, B. (2010).
Photocatalytic degradation of selected herbicides in aqueous suspensions of doped titania
under visible light irradiation. Journal of Hazardous Material, 179, 49-56.
Šojić, D., Despotovic, V., Orčić, D., Szabó, E., Arany, E., Armaković, S. y Abramović, B. (2012). Degradation of thiamethoxam and metoprolol by UV, O3, UV/O3 hybrid processes: Kinetics, degradation intermediates and toxicity. Journal of Hydrology, 472-473.
Stefan, M. y Bolton, J. (1999). Reinvestigation of the Acetone Degradation Mechanism in Dilute
Aqueous Solution by the UV/H2O2 Process. Environmental Science & Technology, 33,
870-873.
Stefan, M. y Bolton, J. (2000). Degradation pathways during the treatment of methyl tert-butyl
ether by the UV/H2O2 process. Environmental Science & Technology, 34, 650-658.
Sun, H., Bai, Y., Liu, H., Jin, W. y Xu, N. (2009). Photocatalytic decomposition of
4-chlorophenol over an efficient N-doped TiO2 under sunlight irradiation. Journal of
Photochemistry and Photobiology A: Chemistry, 201, 15-22.
Sundstrom, D., Klei, H., Nalette, T., Reidy, D. y Weir, B. (2009). Destruction of halogenated
aliphatics by ultraviolet catalyzed oxidation with hydrogen peroxide. Waste and Hazard,
3, 101-110.
Swarnalatha, B. y Anjaneyulu, Y. (2004). Studies on the heterogeneous photocatalytic oxidation
of 2,6-dinitrophenol in aqueous TiO2 suspension. Journal of Molecular Catalysis A:
Chemical, 223, 161-165.
Vargas, F., León, M. y Angulo, B. (2021). Phorphyrins and Phthalocyanines.
Synthesis,properties and photocatalytic activity for wastewater treatment. Catálisis, 1,
1-11. https://doi.org/10.5281/zenodo.4768557
Waldner, G., Gomez, R. y Neumann-Spallart, M. (2007). Using photoelectrochemical
measurements for distinguishing between direct and indirect hole transfer processes on
anatase: Case of oxalic acid. Electrochimica Acta, 52, 2634.
Wang, H., Lindgren, T., He, J., Hagfeldt, A. y Lindquist, S. (2000). Photolelectrochemistry
of nanostructured WO3 thin film electrodes for water oxidation: mechanism of electron
transport. The Journal of Physical Chemistry B, 104, 5686-5696.
Wang, Y. y Lin, J. (1995). Estimation of selected phenols in drinking water with in situ
acetylation and study on the DNA damaging properties of polychlorinated phenols.
Archives of Environmental Contamination and Toxicology, 28 (4), 537-542. https://doi.
org/10.1007/bf00211639
Weber, J., Kurková, R., Klánová, J., Klán, P. y Halsall, C. (2009). Photolytic degradation of
methyl-parathion and fenitrothion in ice and water: Implications for cold environments.
Environmental Pollution, 57, 3308-3313.
Winter, C. (2012). Pesticide residues in foods. Chemical Contaminants and Residues in Food,
183-200. https://doi.org/10.1533/9780857095794.2.183
Wu, C. y Linden, K. (2010). Phototransformation of selected organophosphorus pesticides:
Roles of hydroxyl and carbonate radicals. Water Research, 12, 3585-3594.
Yao, B., Wang, C., Wang, Y. y Zhao, G. (2007). Preparation of performances of RuO2/TiO2 films photocatalyst supported on float pearls. Chinese Journal of Chemical Physics,
20 (6), 789-795.
Yeasmin, L., MacDougall, S. y Wagner, B. (2009). UV-A photochemistry of the pesticide
azinphos-methyl: Generation of the highly fluorescent intermediate N-methylanthranilic
acid. Journal of Photochemistry and Photobiology, A Chemistry, 204, 217-223.
Yu, B., Zeng, J., Gong, L., Yang, X., Zhang, L. y Chen, X. (2008). Photocatalytic degradation
investigation of dicofol. Chinese Science Bulletin, 53 (1), 27-32.
Zapata, A., Oller, I., Rizzo, L., Hilger, S., Maldonado, M., Sánchez-Pérez, J. y Malato, S.
(2010). Evaluation of operating parameters involved in solar photo-Fenton treatment
of wastewater: Interdependence of initial pollutant concentration, temperature and iron
concentration. App. Catal. B-Environ, 97 (1), 292-298.
Zertal, A., Jacquet, M., Lavédrine, B. y Sehili, T. (2005). Photodegradation of chlorinated
pesticides dispersed on sand. Chemosphere, 10, 1431-1437.
Zhang, L., Yan, F., Su, M., Han, G. y Kang, P. (2009). A study on the degradation of
methamidophos in the presence of nano-TiO2 catalyst doped with Re. Russian Journal
of Inorganic Chemistry, 54 (8), 1210-1216.
Zhang, L., Yan, F., Wang, Y., Guo, X. y Zhang, P. (2006). Photocatalytic degradation of
methamidophos by UV irradiation in the presence of nano TiO2. Inorganic Materials,
42 (12), 1379-1387.
Zhang, Z., Huang, J., Yu, G. y Hong, H. (2004). Occurrence of PAHs, PCBs and organochlorine
pesticides in the Tonghui River of Beijing, China. Environmental Pollution, 2, 249-261.
Zhou, R., Zhu, L. y Kong, Q. (2007). Persistent chlorinated pesticides in fish species from
Qiantang River in East China. Chemosphere, 5, 838-847.
Zmudzinski, W., Sobczynska, A. y Sobczynski, A. (2007). Oxidation of phenol and hexanol
in their binary mixtures on illuminated titania: Kinetic studies. Reaction Kinetics and
Catalysis Letters, 90, 293-300.