Evaluación de la influencia del balance de constituyentes hidrogeoquı́micos en el uso sostenible del agua

Evaluación de la influencia del balance de constituyentes hidrogeoquı́micos en el uso sostenible del agua


Evaluating influence of hydrogeochemical constituents balance on water sustainable use


Gerardo HuguetORCID logo1

Adriana MárquezORCID logo2

Edilberto GuevaraORCID logo3

Sergio PérezORCID logo4

Eduardo BurozORCID logo5

Centro de Investigaciones Hidrológicas y Ambientales, Carabobo, Venezuela1, 2, 3, 4

Universidad Central de Venezuela, Universidad Católica Andrés Bello, Academia Nacional de Ingenierı́a y Hábitat, Caracas, Venezuela5

gerardohuguet@gmail.com1

ammarquez@uc.edu.ve2

eguevara@uc.edu.ve3

sperez@uc.edu.ve4

eduardo.buroz@gmail.com5

Fecha de recepción: 24/03/2024
Fecha de aceptación: 28/05/2024
Pág: 50 – 94
DOI: 10.5281/zenodo.18186158

Resumen

El presente trabajo tiene como objetivo analizar los constituyentes o parámetros hidrogeológicos, fı́sicos y quı́micos del acuı́fero de San Diego, Venezuela, para caracterizarlo y determinar su influencia en el uso sustentable del agua subterránea para el abastecimiento de la población que habita en el municipio de San Diego, estado Carabobo, Venezuela. El municipio de San Diego cubre la mayor parte del área del acuı́fero, y es una zona de alto desarrollo urbano que requiere suministro de agua subterránea debido al déficit del suministro principal asociado al Sistema Regional Central. El acuı́fero es un conjunto de estratos geológicos ubicados dentro de lı́mites de la cuenca del rı́o San Diego, que es capaz de almacenar agua subterránea y transmitirla. Se investigaron datos de litologı́a, porosidad, nivel de bombeo, que permiten calcular una estimación del volumen de agua disponible en el acuı́fero. En cuanto a calidad del agua, datos de dureza, cloruros, sulfatos, nitratos, conductividad, calcio, magnesio, pH, muestran que el agua hacia el centro y norte del acuı́fero es de buena calidad, mientras que hacia el extremo sur, ésta es de menor calidad, donde los parámetros minerales son mayores, relacionado con una probable intrusión del agua salobre del lago de Valencia. Se concluye estableciendo que el volumen de agua subterránea, su disponibilidad, viabilidad de extracción y su calidad la hacen apta para el abastecimiento urbano y que la extracción es sostenible. Aunque se debe diseñar una mejor gestión integrada, considerando el aporte del Sistema Regional del Centro y adecuación de redes de distribución.

Palabras clave: acuı́fero de San Diego, componentes hidrogeoquı́micos, uso sustentable.



Abstract

The present work aims to analyze and interpret the constituents or hydro-geological, physical and chemical parameters of the San Diego aquifer, to characterize it and determine its influence on the sustainable use of groundwater for supplying the population that inhabits the San Diego municipality, Carabobo State, Venezuela. The San Diego municipality covers most of the aquifer area, and is an area of high urban development that currently requires groundwater supply due to the deficit of the main supply associated to the Central Regional System. The aquifer is a set of geological strata located within the limits of the San Diego River basin, which is capable of storing groundwater and transmitting it. Data on lithology, porosity, pumping level were investigated, which allow to calculate an estimate of the volume of available water in the aquifer. Regarding water quality, data on hardness, chlorides, sulfates, nitrates, conductivity, calcium, magnesium, pH, show that the water towards the center and north of the aquifer is of good quality, while towards the extreme south, this is of lower quality, where the mineral parameters are higher, which is related to probable intrusion of the brackish water of the Valencia Lake. It is concluded by establishing that the volume of groundwater, its availability, extraction feasibility and its quality make it suitable for urban supply and that the extraction is sustainable. Although a better integrated management must be designed, considering the contribution of the Center’s Regional System and the adaptation of the distribution networks.

Key words: San Diego aquifer, hydrogeochemical constituents, sustainable use.



Esta obra está bajo licencia CC BY-NC-SA 4.0

Introducción


La disponibilidad de agua está disminuyendo con el tiempo y la crisis hı́drica es el quinto mayor riesgo para la sociedad según la edición 2020 del informe Riesgos Globales del Foro Económico Mundial (World Forum Economic, 2020). El informe de Revisión Nacional Voluntaria de Ghana sobre la implementación de la Agenda 2030 para el Desarrollo Sostenible revela que la disponibilidad de agua per cápita ha disminuido pero se mantiene por encima del umbral de estrés hı́drico (1700 m3 per cápita) (National Development Planning Commission, 2019). En lo que respecta a Venezuela, el Informe de Revisión Nacional Voluntaria, informó que uno de los impactos del cambio climático se ha sentido principalmente en la disponibilidad de agua para el rendimiento hidroeléctrico, que comprende entre el 60 y el 80 % del suministro nacional (Centro de Pensamiento Independiente, 2016).

Según Naciones Unidas, en su documento Agenda 2030, la escasez de agua afecta a más del 40 % de las personas, una cifra alarmante que se prevé que aumente a medida que lo hagan las temperaturas. Aunque 2100 millones de personas han mejorado el saneamiento del agua desde 1990, la disminución del suministro de agua potable está afectando a todos los continentes. Cada vez más paı́ses sufren estrés hı́drico, y el aumento de la sequı́a y la desertificación ya están empeorando estas tendencias. Se prevé que para 2050 al menos una de cada cuatro personas sufrirá escasez recurrente de agua. El agua potable segura y asequible para todos para 2030 requiere que los paı́ses inviertan en infraestructura adecuada, proporcionen instalaciones sanitarias y fomenten la higiene, para lo cual la protección y restauración de los ecosistemas relacionados con el agua es esencial. El acceso al agua y al saneamiento para todos, que es el Objetivo 6 de los Objetivos de Desarrollo Sostenible (ODS), contribuye al logro de la mayorı́a de los ODS.

En Venezuela, una de las zonas donde se han realizado recientes investigaciones de campo de aguas subterráneas es el municipio de San Diego, estado Carabobo. Este municipio tiene un lı́mite polı́tico-territorial que coincide con la cuenca del rı́o San Diego y también incluye el acuı́fero de San Diego (Huguet-Sierra y Márquez, 2021). Está limitado al Este, Norte y Sur por formaciones montañosas, y en el centro tiene caracterı́sticas de valle aluvial, que es donde se ha asentado su desarrollo urbano. La cuenca del rı́o San Diego se extiende hacia el municipio de Los Guayos hacia el sur, donde el mismo cauce se conoce como rı́o Los Guayos, cuya descarga se produce en el lago Valencia (Huguet-Sierra y Márquez, 2021; Huguet-Sierra et al., 2023).

En el área del municipio de San Diego se estima una población urbana de aproximadamente 140000 habitantes en el año 2027 de acurdo a la Alcaldı́a del Municipio de San Diego, mientras que el Instituto Nacional de Estadı́stica reporta un crecimiento poblacional acelerado entre los censos consecutivos de 2001 y 2011 (Instituto Nacional de Estadı́stica, 2014). Además, en la zona sur del municipio se concentra una zona de industrias y empresas comerciales. En total supone una demanda aproximada o consumo medio superior a los 400 L/s (Sánchez, 2013).

Para satisfacer la demanda de agua de la población del municipio de San Diego, el casco urbano del municipio se abastece con el subsistema del Sistema Regional Centro, con aportes de las grandes lı́neas de aducción de Valencia, estación de bombeo de Castillito, tuberı́as principales en el eje de la avenida Don Julio Centeno, y redes de distribución en cada urbanización y sector (Huguet-Sierra y Márquez, 2021; Huguet-Sierra et al., 2023). Adicionalmente, el norte del municipio de San Diego cuenta con la fuente superficial de La Cumaca, que abastece de agua a sectores cercanos, hasta parte del norte del municipio, con una producción promedio entre 20 y 30 L/s (Sánchez, 2013).

Además, el municipio cuenta con aproximadamente 58 pozos profundos activos (Márquez y Carrillo, 2015), la mayorı́a de los cuales son de uso doméstico. Este uso se refiere a que dichos pozos abastecen de agua directamente a las redes de distribución de los sectores aledaños, representando una proporción importante del aporte de agua potable. Este alto número de pozos profundos se debe principalmente a que se han tratado de compensar los problemas que presenta el Sistema Regional Central en San Diego, ya que no logra cubrir las demandas de flujo de todos los sectores, ni opera de manera continua, ya que de ese sistema se recibe agua de forma intermitente, dos o tres veces por semana durante unas 12 a 20 horas cada vez (Huguet-Sierra y Márquez, 2021; Huguet-Sierra et al., 2023). Esta situación tiende a acentuarse debido al alto crecimiento urbano y comercial del municipio (Sánchez, 2013).

Otro aspecto adicional al uso de las aguas subterráneas está relacionado con su calidad. En este contexto de uso para abastecimiento urbano, sus caracterı́sticas fı́sico-quı́micas deben permitir el consumo (doméstico, industrial o agrı́cola) sin necesidad de requerir sistemas de depuración que encarezcan los costes de producción (Huguet-Sierra y Márquez, 2021; Huguet-Sierra et al., 2023). Hay casos en los que una elevada extracción de agua subterránea modifica las condiciones del acuı́fero, sus niveles o su caudal original, produciendo la intrusión de agua de menor calidad, como en las proximidades del mar, o de lagos salobres como el lago de Valencia (Huguet-Sierra y Márquez, 2021; Huguet-Sierra et al., 2023).

Por lo tanto, como fuente importante de abastecimiento que es el acuı́fero de San Diego, se deben estudiar sus caracterı́sticas, los factores que intervienen en el balance hı́drico del ambiente geológico subterráneo y su calidad (Huguet-Sierra y Márquez, 2021; Huguet-Sierra et al., 2023). Estos son aspectos claves ya que es necesario realizar un manejo adecuado de este recurso, al utilizarlo como fuente de abastecimiento de las redes de acueductos para su población bajo esquemas de uso sustentable (Ley de Aguas, art. 10 y 11, (Asamblea Nacional de la República Bolivariana de Venezuela, 2007)). De lo anterior, este estudio cubre cinco objetivos: (i) caracterización de los constituyentes hidrogeoquı́micos del acuı́fero de San Diego en el periodo 2015-2018, (ii) determinación de los parámetros geofı́sicos e hidráulicos del acuı́fero del municipio de San Diego en el periodo 2015-2018, (iii) estimación de los parámetros del balance de aguas subterráneas del acuı́fero de San Diego en el perı́odo 2015-2018, (iv) análisis de la influencia de los constituyentes hidrogeoquı́micos del acuı́fero de San Diego en el uso sustentable de su agua, y (v) evaluación de los constituyentes hidrogeoquı́micos del acuı́fero de San Diego en el perı́odo 2015-2018, en relación con su equilibrio e influencia en el uso sostenible del agua para abastecimiento urbano.

Materiales y métodos

Área de estudio

El área de estudio corresponde al acuı́fero de San Diego, que comprende las cuencas de los rı́os San Diego y Los Guayos, cuyas coordenadas corresponden a N 10◦ 22′ 00′′ a N 10◦ 09′ 00′′ y longitud Oeste 67◦ 52′ 00′′ a W 68◦ 00′ 00′′ . El acuı́fero de San Diego está contenido en una subcuenca del lago Valencia (Figura 1).

Figura 1: Área del acuı́fero de San Diego con ubicación de pozos profundos en el área.

Fuente: (Márquez, Guevara y Rey, 2018).

Fases de la investigación
Las fases de la investigación incluyen cinco procedimientos para dar respuesta a los objetivos especı́ficos y generales del presente estudio: (i) caracterización de los constituyentes hidrogeoquı́micos del acuı́fero de San Diego en el perı́odo 2015-2018, (ii) determinación de los componentes geofı́sicos e hidráulicos del acuı́fero del municipio de San Diego en el periodo 2015-2018, (iii) estimación de los parámetros del balance de aguas subterráneas del acuı́fero de San Diego en el periodo 2015-2018, (iv) análisis de la influencia de los constituyentes hidrogeoquı́micos del acuı́fero de San Diego sobre el uso sustentable de su agua, y (v) evaluación de los constituyentes hidrogeoquı́micos del acuı́fero de San Diego en el perı́odo 2015-2018, en relación con su equilibrio e influencia en el uso sustentable del agua para suministro urbano.

Caracterización de los constituyentes hidrogeoquı́micos del acuı́fero de San Diego en el periodo 2015-2018

El muestreo desarrollado en este estudio fue del tipo probabilı́stico por conglomerados (Hernández-Sampieri et al., 2014), según el cual las unidades se encapsulan en determinadas ubicaciones fı́sicas. El muestreo por conglomerados implica diferenciar entre la unidad de análisis y la unidad de muestreo. La unidad de análisis indica a quién se va a medir. La unidad de muestreo (en este tipo de muestra) se refiere al conglomerado a través del cual se logra el acceso a la unidad de análisis.

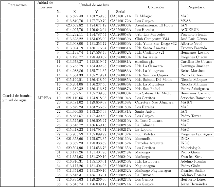
En este estudio, la unidad de análisis estuvo compuesta por los pozos de agua potable registrados por la empresa Hidrológica del Centro (Tabla 1), Ministerio de Ecosocialismo y Aguas (Tabla 2), y las tesis de pregrado atendidas por el Centro de Investigaciones Hidrológicas y Ambientales de la Universidad de Carabobo (CIHAM-UC) (Tabla 3), respectivamente. La unidad de muestra puede ser considerada como la administradora de los pozos, HIDROCENTRO, MINEA, ası́ como urbanistas y empresas privadas.


Tabla 1: Componentes del muestreo por conglomerados de caudal y nivel de agua de pozos administrados por la empresa Hidrológica del Centro en el acuı́fero del municipio San Diego, estado Carabobo.

Fuente: Elaboración propia. Adaptado de Márquez y Carrillo (2015).

Tabla 2: Componentes del muestreo por conglomerados de caudales y niveles de agua de pozos administrados por el Ministerio del Poder Popular para el Ecosocialismo y Aguas (MPPEA) en el acuı́fero del municipio San Diego, estado Carabobo.

Fuente: Elaboración propia. Adaptado de Márquez y Carrillo (2015).

Tabla 3: Componentes del muestreo por conglomerados para la medición de caudales y niveles de los pozos administrados por el Ministerio del Poder Popular para el Ecosocialismo y Aguas, empresa Hidrológica del Centro y urbanizaciones privadas en el acuı́fero del municipio San Diego, estado Carabobo, obtenido de la tesis del Centro de Investigaciones Hidrológicas y Ambientales de la Universidad de Carabobo (CIHAM UC)

Fuente: Elaboración propia. Adaptado de Márquez y Carrillo (2015).

Las Tablas 4 y 5 presentan los elementos del muestreo por conglomerados de los pozos del acuı́fero del Municipio de San Diego para las caracterı́sticas fisicoquı́micas y bacteriológicas medidas durante el periodo 2015-2019 en los pozos registrados por la Empresa Hidrológica Central, Ministerio de Ecosocialismo y Aguas y 21 tesis de pregrado asistido por el Centro de Investigaciones Hidrológicas y Ambientales (CIHAM-UC), respectivamente. En la Tabla 4 se muestra que los resultados de los parámetros fisicoquı́micos realizados por el Ministerio de Ecosocialismo y Aguas fueron realizados durante el perı́odo 1970-1995 en pozos ubicados dentro de fundos, fincas y fincas de propiedad pública (por ejemplo, ACUERUR, IAN y MARN), por lo que como propiedad privada que constituyen el 70 % del registro en la Tabla 5.

En la Tabla 5 se presentan los estudios desarrollados a través de las tesis asesoradas por el CIHAM UC, en las que se reportan caracterizaciones de parámetros fisicoquı́micos y bacteriológicos realizadas por laboratorios certificados por el Ministerio de Ecosocialismo y Aguas y por el Laboratorio de Aguas de Aragua adscrito al Ministerio de Ecosocialismo y Aguas. Las caracterizaciones incluyeron 42 muestreos realizados en áreas predominantemente residenciales, y en menor medida en áreas recreativas e industriales del acuı́fero del municipio de San Diego. Las tesis de pregrado involucradas cubren documentos aprobados en el perı́odo 2015-2021.

Tabla 4: Componentes del muestreo por conglomerados para el muestreo de parámetros fisicoquı́micos de pozos registrados en el Ministerio de Ecosocialismo y Aguas del acuı́fero del municipio de San Diego, estado Carabobo, obtenidos de tesis del Centro de Investigaciones Hidrológicas y Ambientales de la Universidad de Carabobo (CIHAM UC).

Fuente: Elaboración propia. Adaptado de Márquez y Carrillo (2015).

Tabla 5: Componentes del muestreo por conglomerados para muestreo de parámetros fisicoquı́micos de pozos administrados por la empresa Hidrológica del Centro y urbanizaciones privadas en el acuı́fero del municipio de San Diego, estado Carabobo, obtenido de la tesis del Centro de Investigaciones Hidrológicas y Ambientales de la Universidad de Carabobo (CIHAM UC).

Fuente: Elaboración propia. Adaptado de Márquez y Carrillo (2015).


Procedimiento para medir niveles de agua en pozos subterráneos


La medición de la profundidad de la superficie del agua debajo de la superficie de referencia del terreno utilizando cinta aislante se realizó siguiendo el procedimiento establecido por el Servicio Geológico de Estados Unidos (USGS) en (Cunningham y Schalk, 2014). En las tesis de pregrado del CIHAM-UC realizadas por Márquez, Mercado y Rodrı́guez (2015), Márquez, Daza y Terán (2015), Márquez, Garcı́a y Mendoza (2015), Márquez, Jiménez y Cruz (2015), Márquez, Garcı́a y Ramı́rez (2015), Márquez, Farı́as y Vallejo (2016), Márquez, Palma y Vegas (2016), Márquez, Hernández y Vázquez (2016), Márquez, Carrizales y Urdaneta (2017), Márquez, Montilla y Quiñonez (2017), Márquez, Delgado y Vera (2017), Márquez, Quintero y Romero (2017), Márquez, Segura y Rodrı́guez (2017), Márquez, Cordero y Jiménez (2017), Márquez, Flores y Urdaneta (2018), Márquez, Monsalve y Villareal (2018), Márquez, Martı́n y Álvarez (2018), Márquez et al. (2019), Márquez, Garcı́a y Cárdenas (2017), Márquez et al. (2021), se utilizó cinta aislante, de doble hilo y graduada en metros, décimas y centésimas de metros, modelo PLM, marca Seba Hydrometrie proporcionada por CIHAM-UC. La cinta aislante se instaló en un carrete accionado por manivela que contiene espacio para las baterı́as y algún dispositivo (“Indicador”) para señalar cuando el circuito está cerrado.

Procedimiento para la determinación de los parámetros fisicoquı́micos y bacteriológicos del agua bombeada de los pozos subterráneos

La determinación de las caracterı́sticas fisicoquı́micas y bacteriológicas fueron realizadas por laboratorios certificados por el Ministerio de Ecosocialismo y Aguas en los informes obtenidos de urbanismo y empresas privadas con actividad dentro del municipio de San Diego y también se describe en Márquez, Mercado y Rodrı́guez (2015), Márquez, Daza y Terán (2015), Márquez, Garcı́a y Mendoza (2015), Márquez, Jiménez y Cruz (2015), Márquez, Garcı́a y Ramı́rez (2015), Márquez, Farı́as y Vallejo (2016), Márquez, Palma y Vegas (2016), Márquez, Hernández y Vázquez (2016), Márquez, Carrizales y Urdaneta (2017), Márquez, Montilla y Quiñonez (2017), Márquez, Delgado y Vera (2017), Márquez, Quintero y Romero (2017), Márquez, Segura y Rodrı́guez (2017), Márquez, Cordero y Jiménez (2017), Márquez, Flores y Urdaneta (2018), Márquez, Monsalve y Villareal (2018), Márquez, Martı́n y Álvarez (2018), Márquez et al. (2019), Márquez, Garcı́a y Cárdenas (2017), Márquez et al. (2021). Ası́ mismo, se realizaron determinaciones de parámetros fisicoquı́micos y bacteriológicos en el agua de los pozos del municipio de San Diego, referenciados en 42 estudios consistentes en tesis de pregrado dirigidas por el CIHAM–UC (Márquez, Mercado y Rodrı́guez (2015), Márquez, Daza y Terán (2015), Márquez, Garcı́a y Mendoza (2015), Márquez, Jiménez y Cruz (2015), Márquez, Garcı́a y Ramı́rez (2015), Márquez, Farı́as y Vallejo (2016), Márquez, Palma y Vegas (2016), Márquez, Hernández y Vázquez (2016), Márquez, Carrizales y Urdaneta (2017), Márquez, Montilla y Quiñonez (2017), Márquez, Delgado y Vera (2017), Márquez, Quintero y Romero (2017), Márquez, Segura y Rodrı́guez (2017), Márquez, Cordero y Jiménez (2017), Márquez, Flores y Urdaneta (2018), Márquez, Monsalve y Villareal (2018), Márquez, Martı́n y Álvarez (2018), Márquez et al. (2019), Márquez, Garcı́a y Cárdenas (2017), Márquez et al. (2021)), los cuales se enumeraron en la Tabla 6. Las determinaciones de los parámetros fisicoquı́micos y bacteriológicos Los parámetros se realizaron en el Laboratorio Ambiental Aragua, dependiente de la Dirección Estatal de Ecosocialismo y Aguas. Según el Laboratorio Ambiental Aragua, dependiente de la Dirección Estatal de Ecosocialismo y Aguas, las muestras fueron analizadas de acuerdo a lo establecido en los Métodos Estándar Para el Examen de Aguas y Aguas Residuales, (Rice et al., 2012), y la Norma Internacional ISO/IEC 17025 (International organization for standardization, 2017), según el cual al menos el 10 % de las muestras se analizan por duplicado. En cada corrida analı́tica se utilizan materiales de referencia o estándares certificados con trazabilidad, los cuales de acuerdo al Procedimiento de Verificación de Pruebas MP-06-0, deben presentar un error menor al 10 % para garantizar la exactitud y precisión de las pruebas. En las Tablas 6 y 7 se vinculan los parámetros fisicoquı́micos y bacteriológicos con los métodos de los Métodos Estándar para el Examen de Aguas y Aguas Residuales, (Rice et al., 2012), que fueron aplicados para las determinaciones en el agua captada de los pozos del acuı́fero del municipio de San Diego, Estado Carabobo.

Tabla 6: Método para la determinación de los parámetros fisicoquı́micos en el agua de los pozos acuı́feros del municipio San Diego, estado Carabobo, según el Laboratorio Ambiental Aragua.

Fuente: Márquez, Mercado y Rodrı́guez (2015), Márquez, Daza y Terán (2015), Márquez, Garcı́a y Mendoza (2015), Márquez, Jiménez y Cruz (2015), Márquez, Garcı́a y Ramı́rez (2015), Márquez, Farı́as y Vallejo (2016), Márquez, Palma y Vegas (2016), Márquez, Hernández y Vázquez (2016), Márquez, Carrizales y Urdaneta (2017), Márquez, Montilla y Quiñonez (2017), Márquez, Delgado y Vera (2017), Márquez, Quintero y Romero (2017), Márquez, Segura y Rodrı́guez (2017), Márquez, Flores y Urdaneta (2018), Márquez, Monsalve y Villareal (2018), Márquez, Martı́n y Álvarez (2018), Márquez, Guevara y Rey (2018), Márquez et al. (2019), Márquez, Garcı́a y Cárdenas (2017), Márquez et al. (2021).


Tabla 7: Método para la determinación de los parámetros bacteriológicos en el agua de los pozos acuı́feros del municipio San Diego, estado Carabobo, según el Laboratorio Ambiental Aragua.

Fuente: Márquez, Mercado y Rodrı́guez (2015), Márquez, Daza y Terán (2015), Márquez, Garcı́a y Mendoza (2015), Márquez, Jiménez y Cruz (2015), Márquez, Garcı́a y Ramı́rez (2015), Márquez, Farı́as y Vallejo (2016), Márquez, Palma y Vegas (2016), Márquez, Hernández y Vázquez (2016), Márquez, Carrizales y Urdaneta (2017), Márquez, Montilla y Quiñonez (2017), Márquez, Delgado y Vera (2017), Márquez, Quintero y Romero (2017), Márquez, Segura y Rodrı́guez (2017), Márquez, Flores y Urdaneta (2018), Márquez, Monsalve y Villareal (2018), Márquez, Martı́n y Álvarez (2018), Márquez, Guevara y Rey (2018), Márquez et al. (2019), Márquez, Garcı́a y Cárdenas (2017), Márquez et al. (2021).


Determinación de los parámetros geofı́sicos e hidráulicos del acuı́fero del municipio de San Diego en el periodo 2015-2018

El acuı́fero del Municipio de San Diego tiene caracterı́sticas que lo identifican como de tipo confinado, ya que presenta estratos impermeables (arcillas, arenas finas) en las capas superior, intercalada e inferior, como ası́ se puede verificar en los 28 perfiles litológicos de los pozos registrados antes del Ministerio de Ecosocialismo y Aguas, y ubicado dentro del acuı́fero. Según (Bear y Cheng, 2010), en un acuı́fero confinado la presión del agua en él es tal que el nivel del agua en un pozo abierto estará en o aumentará por encima de la superficie lı́mite superior impermeable. La superficie piezométrica de un acuı́fero confinado se encuentra por encima del techo impermeable de este último. En un acuı́fero confinado el agua está bajo presión, del mismo modo que en una tuberı́a. Por lo tanto, en el caso de perforar un pozo en este estrato, el agua asciende a través del pozo por encima del nivel de confinamiento (Guevara y Cartaya, 2004). Bajo la condición de confinamiento, el procedimiento aplicado en este estudio para determinar los parámetros geofı́sicos e hidráulicos implica considerar la condición de flujo no permanente hacia un pozo en un acuı́fero confinado (Guevara y Cartaya, 2004). La solución para un flujo no permanente en un pozo confinado fue deducida por (Theis, 1935).


Determinación de parámetros hidráulicos por método gráfico

Las propiedades T y S del acuı́fero se pueden determinar bombeando un caudal variable Q y midiendo la reducción durante varios intervalos de tiempo. Las propiedades del acuı́fero no se pueden establecer directamente, pero existen técnicas gráficas para su determinación indirecta, siguiendo el método de Theis explicado en Guevara y Cartaya (2004).


Métodos de prueba de bombeo

Las pruebas de bombeo de pozos son necesarias para determinar la capacidad del pozo, la reducción, la capacidad de producción a largo plazo y los parámetros para el tamaño permanente de la bomba y para recolectar muestras de agua para su análisis. Según ANSI/AWWA A100-97 (American Water Works Association, 1998) y NTC 5539 (Instituto Colombiano de Normas Técnicas y Certificación, 2007), para la prueba de bombeo se debe utilizar una bomba de prueba y mecanismos para medir el nivel y flujo del agua.


Pruebas de abatimiento escalonadas

Se deben realizar pruebas de abatimiento por pasos para determinar los parámetros generales de las pruebas de bombeo de flujo constante ANSI/AWWA A100-97 (American Water Works Association, 1998) y NTC 5539 (Instituto Colombiano de Normas Técnicas y Certificación, 2007). Estos parámetros son el coeficiente de transmisividad (T ) y el coeficiente de almacenamiento (S). El pozo debe bombearse a caudales progresivamente más altos, y la duración de cada liberación por paso debe ser lo suficientemente larga como para mostrar la indicación de una tendencia a una lı́nea recta al trazar la reducción versus el registro de tiempo desde que comenzó el bombeo.


Mediciones de nivel de agua

Se deben tomar mediciones del nivel de agua antes, durante y después de la prueba de bombeo para obtener información de referencia (niveles de agua estáticos), los efectos del bombeo (niveles de agua durante el bombeo) y un perfil de recuperación del agua. La frecuencia de medición de los niveles de agua durante la prueba de bombeo debe ser tal que esté disponible una definición adecuada de los datos del tiempo de abatimiento.


Determinación de los parámetros del balance de aguas subterráneas del acuı́fero de San Diego en el periodo 2015-2018


El método aplicado incluye los siguientes tres pasos: i) recopilación de información, ii) procesamiento de información y iii) generación de resultados.


Recopilación de información

La base de datos utilizada en esta actividad ha sido adquirida de tres fuentes de información, las cuales son (Márquez, Cordero y Jiménez, 2017; Márquez, Segura y Rodrı́guez, 2017): a) Instituto Nacional de Meteorologı́a e Hidrologı́a perteneciente al Ministerio de Relaciones Interiores, Justicia y Paz (descargado del sitio web: http://www.inameh.gob.ve/web/, b) Compañı́a Central Hidrológica a través del suministro de caudales en el periodo 2015-2018, c) Centro de Investigaciones Hidrológicas y Ambientales de la Universidad de Carabobo (CIHAM -UC) a través de los estudios desarrollados por Márquez y Carrillo (2015), Márquez, Mercado y Rodrı́guez (2015), Márquez, Daza y Terán (2015), Márquez, Garcı́a y Mendoza (2015), Márquez, Jiménez y Cruz (2015), Márquez, Garcı́a y Ramı́rez (2015), Márquez, Farı́as y Vallejo (2016), Márquez, Palma y Vegas (2016), Márquez, Hernández y Vázquez (2016), Márquez, Carrizales y Urdaneta (2017), Márquez, Montilla y Quiñonez (2017), Márquez, Delgado y Vera (2017), Márquez, Quintero y Romero (2017), Márquez, Segura y Rodrı́guez (2017), Márquez, Cordero y Jiménez (2017), Márquez, Flores y Urdaneta (2018), Márquez, Monsalve y Villareal (2018), Márquez, Martı́n y Álvarez (2018), Márquez et al. (2019), Márquez, Garcı́a y Cárdenas (2017), Márquez et al. (2021).


Procesamiento de información

i) Predicción espacial de las variables hidrometorológicas

Se aplican modelos estadı́sticos de predicción espacial para estimar los parámetros hidrometeorológicos medidos en campo (precipitación, evapotranspiración y flujo de bombeo). Un modelo de predicción espacial estima los valores de la variable objetivo (z) en alguna nueva ubicación s0; siendo un conjunto de observaciones de una variable objetiva z denotada como z(s1), z(s2), ..., z(sn), donde si = (xi, yi) es una ubicación y xi e yi son las coordenadas (ubicaciones primarias) en el espacio geográfico y n es el número de observaciones. El dominio geográfico de interés (área, superficie terrestre, objeto) se puede denotar como A. El modelo de predicción espacial define las entradas, las salidas y el procedimiento computacional para derivar salidas basadas en las entradas dadas por la expresión 1 (Hengl, 2007):

\[ \hat{z}(s_{0}) = E\left(\frac{Z}{z}(s_{i}), q_{k}(s_{0}), \gamma\!(h), s\,\epsilon\,\!A \right) \]

(1)

Donde z(si ) es el conjunto de datos del punto de entrada, qk (s0) es la lista de predictores deterministas y γ(h) es el modelo de covarianza que define la estructura de autocorrelación espacial. El tipo de SSPM utilizado es el modelo estadı́stico denominado Krigging Ordinario (OK); cuya técnica fue desarrollada por Kirsch (2006). Las predicciones se basan en la ecuación 2.

\[s = \mu + \varepsilon'(s) \]

(2)

Donde µ es la función estacionaria constante (media global) y ε′ (s) es la parte estocástica espacialmente correlacionada de la variación. Las predicciones se hacen como Matheron (1963) introdujo el análisis de los datos puntuales, la derivación y el seguimiento de las llamadas semivarianzas, diferencias entre los valores vecinos.


ii) Predicción espacial de la infiltración

La estimación de la precipitación efectiva en la cuenca acuı́fera del Municipio de San Diego se realizó aplicando el método del Servicio de Conservación de Estados Unidos (US-SCS) (Guevara y Cartaya, 2004). El método US-SCS comúnmente conocido como método del número de curva (CN ), cuyo objetivo es calcular las extracciones de agua de una tormenta. En este método, el exceso de precipitación (profundidad de escorrentı́a superficial) es función de la precipitación total en la cuenca, un parámetro de abstracción y el número de curva de escorrentı́a (CN).


iii) Balance hı́drico

Las cantidades de agua involucradas en uno o más de los procesos del ciclo hidrológico generalmente pueden evaluarse mediante la siguiente ecuación diferencial (Guevara y Cartaya, 2004):

\[I - O = \frac{dS}{dt} \]

Donde:

I = contribución o afluente por unidad de tiempo

O = descarga o efluente por unidad de tiempo

dS/dt = cambio en el almacenamiento por unidad de tiempo

La ecuación 3 se puede utilizar como modelo general del equilibrio hidrológico de la Tierra, describiendo el equilibrio hidrológico debajo de la superficie del suelo, como se expresa en la ecuación 4:

\[I - ET - Q_{b} = \Delta\!S\]

Donde I (infiltración), ET la evapotranspiración y S el almacenamiento.


Análisis de la influencia de los constituyentes hidrogeoquı́micos del acuı́fero de San Diego en el uso sustentable de su agua

Los valores actuales de parámetros se comparan con las “Normas Sanitarias para la Calidad del Agua Potable”(Gaceta Oficial N° 36395, 1998), y con las “Normas para la clasificación y control de la calidad de las aguas de la cuenca del lago de Valencia” (decreto 3.219 de 1999).


Resultados y discusión

Caracterización de constituyentes hidrogeoquı́micos del acuı́fero del municipio San Diego, estado Carabobo en el periodo 2015 al 2018
Caracterización del caudal de bombeo en el acuı́fero del municipio San Diego, estado Carabobo, Venezuela

La Figura 2 muestra la variación de los caudales de bombeo de 54 pozos del municipio de San Diego en el periodo 2015-2018, donde se observa una disminución promedio de 12 L/s a 6 L/s para el año 2015, al compararlo con el resto de los años. La distribución espacial de los flujos de bombeo en el acuı́fero del municipio de San Diego se muestra en la Figura 3, donde se observa que el flujo extraı́do varı́a predominantemente en un rango de hasta 6 L/s en las zonas residenciales y aumenta desde la zona norte hacia la zona sur del acuı́fero donde se ubican negocios e industrias (Márquez, Mercado y Rodrı́guez (2015), Márquez, Daza y Terán (2015), Márquez, Garcı́a y Mendoza (2015), Márquez, Jiménez y Cruz (2015), Márquez, Garcı́a y Ramı́rez (2015), Márquez, Farı́as y Vallejo (2016), Márquez, Palma y Vegas (2016), Márquez, Hernández y Vázquez (2016), Márquez, Carrizales y Urdaneta (2017), Márquez, Montilla y Quiñonez (2017), Márquez, Delgado y Vera (2017), Márquez, Quintero y Romero (2017), Márquez, Segura y Rodrı́guez (2017), Márquez, Cordero y Jiménez (2017), Márquez, Flores y Urdaneta (2018), Márquez, Monsalve y Villareal (2018), Márquez, Martı́n y Álvarez (2018), Márquez et al. (2019), Márquez, Garcı́a y Cárdenas (2017), Márquez et al. (2021)).


Figura 2: Variación de los caudales de bombeo en los pozos del municipio de San Diego, estado Carabobo en el periodo 2015-2018.

Fuente: Elaboración propia (2024). Adaptado de Márquez, Mercado y Rodrı́guez (2015), Márquez, Daza y Terán (2015), Márquez, Garcı́a y Mendoza (2015), Márquez, Jiménez y Cruz (2015), Márquez, Garcı́a y Ramı́rez (2015), Márquez, Farı́as y Vallejo (2016), Márquez, Palma y Vegas (2016), Márquez, Hernández y Vázquez (2016), Márquez, Carrizales y Urdaneta (2017), Márquez, Montilla y Quiñonez (2017), Márquez, Delgado y Vera (2017), Márquez, Quintero y Romero (2017), Márquez, Segura y Rodrı́guez (2017), Márquez, Cordero y Jiménez (2017), Márquez, Flores y Urdaneta (2018), Márquez, Monsalve y Villareal (2018), Márquez, Martı́n y Álvarez (2018), Márquez et al. (2019), Márquez, Garcı́a y Cárdenas (2017), Márquez et al. (2021).

Figura 3: Distribución espacial de caudales de bombeo en los pozos del municipio de San Diego, estado Carabobo en el periodo 2015-2018.

Fuente: Elaboración propia (2024). Adaptado de Márquez, Mercado y Rodrı́guez (2015), Márquez, Daza y Terán (2015), Márquez, Garcı́a y Mendoza (2015), Márquez, Jiménez y Cruz (2015), Márquez, Garcı́a y Ramı́rez (2015), Márquez, Farı́as y Vallejo (2016), Márquez, Palma y Vegas (2016), Márquez, Hernández y Vázquez (2016), Márquez, Carrizales y Urdaneta (2017), Márquez, Montilla y Quiñonez (2017), Márquez, Delgado y Vera (2017), Márquez, Quintero y Romero (2017), Márquez, Segura y Rodrı́guez (2017), Márquez, Cordero y Jiménez (2017), Márquez, Flores y Urdaneta (2018), Márquez, Monsalve y Villareal (2018), Márquez, Martı́n y Álvarez (2018), Márquez et al. (2019), Márquez, Garcı́a y Cárdenas (2017), Márquez et al. (2021).


Caracterización de los niveles dinámicos de agua en el acuı́fero del Municipio San Diego, estado Carabobo

La Figura 4 muestra los resultados de la caracterización de los niveles de agua en el acuı́fero del municipio de San Diego en el periodo 2015-2018 derivados de los estudios realizados por Márquez y Carrillo (2015), Márquez, Mercado y Rodrı́guez (2015), Márquez, Daza y Terán (2015), Márquez, Garcı́a y Mendoza (2015), Márquez, Jiménez y Cruz (2015), Márquez, Garcı́a y Ramı́rez (2015), Márquez, Farı́as y Vallejo (2016), Márquez, Palma y Vegas (2016), Márquez, Hernández y Vázquez (2016), Márquez, Carrizales y Urdaneta (2017), Márquez, Montilla y Quiñonez (2017), Márquez, Delgado y Vera (2017), Márquez, Quintero y Romero (2017), Márquez, Segura y Rodrı́guez (2017), Márquez, Cordero y Jiménez (2017), Márquez, Flores y Urdaneta (2018), Márquez, Monsalve y Villareal (2018), Márquez, Martı́n y Álvarez (2018), Márquez et al. (2019), Márquez, Garcı́a y Cárdenas (2017), Márquez et al. (2021), donde se observa que los niveles de agua disminuyen desde las zonas montañosas del acuı́fero hacia la llanura acuı́fera, siendo menores en el lı́mite entre la zona norte y la zona central del municipio de San Diego donde se registra un intervalo entre 385 - 435 metros sobre el nivel del mar, lo que implica hasta 50 m de desnivel relativo respecto a la superficie del suelo. Asimismo, se observa que los niveles disminuyen en la dirección del gradiente hidráulico del acuı́fero hacia el lago Valencia, como vertiente principal del acuı́fero del municipio de San Diego ubicado hacia el sur.

Figura 4: Distribución de niveles dinámicos de agua en los pozos del municipio de San Diego, estado Carabobo en el periodo 2015-2018.

Fuente: Elaboración propia (2024). Adaptado de Márquez, Mercado y Rodrı́guez (2015), Márquez, Daza y Terán (2015), Márquez, Garcı́a y Mendoza (2015), Márquez, Jiménez y Cruz (2015), Márquez, Garcı́a y Ramı́rez (2015), Márquez, Farı́as y Vallejo (2016), Márquez, Palma y Vegas (2016), Márquez, Hernández y Vázquez (2016), Márquez, Carrizales y Urdaneta (2017), Márquez, Montilla y Quiñonez (2017), Márquez, Delgado y Vera (2017), Márquez, Quintero y Romero (2017), Márquez, Segura y Rodrı́guez (2017), Márquez, Cordero y Jiménez (2017), Márquez, Flores y Urdaneta (2018), Márquez, Monsalve y Villareal (2018), Márquez, Martı́n y Álvarez (2018), Márquez et al. (2019), Márquez, Garcı́a y Cárdenas (2017), Márquez et al. (2021).


Caracterización de los parámetros fisicoquı́micos y bacteriológicos en el acuı́fero del municipio de San Diego, estado Carabobo

Las Figuras 5 y 6 muestran las frecuencias relativas de ocurrencia y distribución espacial de las concentraciones de los aniones en los parámetros fisicoquı́micos y bacteriológicos presentes en el agua de los pozos acuı́feros del municipio San Diego, Estado Carabobo durante el periodo 1970-2021, donde se puede observar que el ion bicarbonato presenta concentraciones similares del orden del 20-25 % para el rango entre 0 y 400 mg/L. El bicarbonato es el parámetro que de todos los mostrados en la figura 5 se detectó en un intervalo amplio en comparación con el resto de los aniones, los cuales mostraron la mayor frecuencia de ocurrencia para concentraciones en el primer intervalo de división de concentración de estos parámetros en las muestras analizadas.

En la Figura 6a se muestra que el bicarbonato resultó en los valores de intervalo más altos en pozos ubicados cerca de la transición entre la zona montañosa y la llanura donde los procesos de disolución de la roca podrı́an verse influenciados por el cambio abrupto del gradiente hidráulico debido a un cambio de régimen de flujo desde supercrı́tico, caracterizado por alta velocidad y baja presión, a crı́tico o subcrı́tico, caracterizado por baja velocidad y alta presión Potter et al. (2012), dentro de los estratos donde el acuı́fero que integran la formación geológica como se puede obtener en los perfiles litológicos.

La composición de las aguas de los pozos del acuı́fero del municipio de San Diego influenciada significativamente por la presencia de iones bicarbonato, sugiere que el acuı́fero del municipio de San Diego es del tipo Karstico (Kirsch, 2006), formado por la disolución de rocas carbonatadas (piedras caliza, dolomita). Las cuevas y canales kársticos se encuentran principalmente a lo largo de fracturas tectónicas o lı́mites de capas horizontales. Los fenómenos kársticos no sólo ocurren en la superficie sino también a mayores profundidades en los acuı́feros Merkel y Planer-Friedrich (2005). La razón es que la disolución del carbonato es un proceso comparativamente rápido, pero todavı́a lleva algo de tiempo, mientras que el agua puede cubrir una distancia bastante larga a lo largo de una fractura. Según Galán y Herrera (2017), las regiones de Venezuela que presentan acuı́feros kársticos comprenden cerca del 20 % del territorio. Los karsts más significativos en el norte de Venezuela se distribuyen por los estados: (1) Zulia (2) Falcón (3) Miranda (4) Monagas (5) Afloramientos menores dispersos en Los Andes (estados Táchira, Mérida, Trujillo y Lara), Anzoátegui (Guanta, Turimiquire, Bergantı́n) y Sucre (cabeceras del Neverı́, Cumanacoa), más algunos karsts costeros e insulares. (6) En el Sur del Paı́s los karsts en cuarcita se presentan en numerosos tepuys, principalmente en la cuenca del Caronı́, meseta de Sarisariñama (en el alto Caura) y tepuy Autana.

Según Urbani (2005), se deduce que el municipio San Diego, estado Carabobo, está contenido en dos regiones geológicas, la región norte dentro de la Serranı́a del Interior de la Cordillera de la Costa y la región sur dentro de la depresión del Lago de Valencia. Según Aguerrevere y Zuloaga (2003), el Lago de Valencia presenta varias fajas tectónicas en parte yuxtapuestas, formando napas de tipo alpino. De acuerdo con Urbani (2005), ası́ como Aguerrevere y Zuloaga (2003) han encontrado correlaciones entre las litologı́as de la Serranı́a del Litoral y la Serranı́a del Interior. El acuı́fero de San Diego podrı́a estar contenido dentro de tres franjas establecidas por la correlación mencionada (Urbani, 2005): a) la asociación meta-sedimentaria Caracas (Jurásico-Cretásico) de conglomerados calcáreos o fase conglomerática de caliza, b) esquistos de Las Brisas, donde el 92 % del área de la unidad se forma de un esquisto cuarzo-albı́tico-muscovı́tico-clorı́tico y en forma minoritaria se han encontrado esquisto calcáreo-grafitoso en la zona de Valencia–Mariara (Urbani, Contreras y Barrios, 1989), y c) esquistos de Las Mercedes, especı́ficamente para la zona Valencia-Mariara (Urbani, Contreras y Barrios, 1989), se ha encontrado mayoritariamente formada de esquisto calcı́tico - grafitoso y mármol, con una asociación mineralógica de cuarzo, calcita, muscovita, albita, grafito, clorita y epidoto. En esta franja también se ha encontrado derivado de un estudio mineralógico de los mármoles de esta unidad (Urbani, Contreras, Barrios et al., 1989), que la dolomita se encuentra en baja concentración predominando los mármoles calcı́ticos.

La solubilidad de la calcita CaCO3 depende de la temperatura y la presión parcial ejercida por el dióxido de carbono en la matriz porosa del acuı́fero (Merkel y Planer-Friedrich, 2005). En cuanto a la temperatura, la solubilidad óptima de la calcita se produce a 30◦ C, no a la temperatura máxima de 40◦ C. En primer lugar, como en el caso de la solubilidad del yeso, la formación del complejo CaCO30 es endotérmica H(CaCO30) = +3, 5, mientras que la solución mineral es exotérmica H(CaCO3(s)) = −2, 3. Por tanto, la solubilidad máxima se produce a temperatura media, en la que la formación del complejo CaCO30 ya ha aumentado y la solubilidad decreciente del CaCO3 (s) no aún no predomina.

En la Figura 6 se muestra que las mayores concentraciones de iones como cloruro (Figura 6b), sulfato (Figura 6c) y nitrato (Figura 6e) se presentan en las muestras recolectadas en el lago Valencia, como uno de los principales cuerpos de agua del estado Carabobo, al que se enfrenta una diversidad de problemas interrelacionados que afectan las condiciones ambientales y amenazan la calidad de vida de sus habitantes (Guevara y Cartaya, 2004). La problemática del lago de Valencia se ha visto influida en gran medida por sus caracterı́sticas geográficas que la distinguen, como es una cuenca cerrada (endorreica), ası́ como por el acelerado crecimiento poblacional de los últimos 20 años y el desarrollo industrial (principal centro industrial del paı́s.

Las Figuras 7 y 8 muestran la frecuencia relativa de ocurrencia y la distribución espacial de las concentraciones de cationes en los parámetros fisicoquı́micos y bacteriológicos en el agua de los pozos acuı́feros del municipio San Diego, estado Carabobo durante el periodo 1970-2019. donde se observa que el ion calcio se distribuye en un intervalo que varı́a entre 0 y 20 mg/L con la mayor frecuencia relativa de aparición (80 %), mientras que para concentraciones entre 20 y 120 mg/L se encontró con una frecuencia relativa entre 10 y 20 %. El resto de los cationes como magnesio, potasio, sodio + potasio se encontraron con mayor frecuencia de aparición (50 % y 80 %) en el menor intervalo entre los valores mı́nimo y máximo ocurridos. En el caso especı́fico de sodio + potasio, las concentraciones variaron entre 0 y 20 mg/L para una frecuencia alta (60 %), llegando hasta 100 mg/L con una frecuencia de aparición menor al 10 %. Este resultado, junto con el encontrado en el análisis de cationes, lleva a que el mayor número de pozos tengan en su composición agua con bicarbonato de calcio con presencia en menor proporción de bicarbonato de sodio, el cual se encontró presente en el agua de pozo ubicado en la zona agrı́cola del lago de Valencia (Figura 8).

Según Guevara y Cartaya (2004), el contenido de sales en las aguas de riego es un factor que debe manejarse correctamente para evitar la salinización y la improductividad de los suelos agrı́colas. Las aguas bajas en sodio se pueden utilizar para riego en la mayorı́a de los suelos con poca probabilidad de alcanzar niveles peligrosos de sodio intercambiable. Las aguas con un contenido muy elevado de sodio no son aptas para el riego, salvo cuando su salinidad sea baja o media y cuando la disolución del calcio en el suelo y la aplicación de yeso u otras mejoras no hagan antieconómico el uso de este tipo de aguas.

En cuanto a las propiedades y su mayor frecuencia de aparición se refiere a la alcalinidad (100 mg/L), dureza cálcica (< 50mg/L) y dureza total (< 100mg/L) son un indicador de la presencia predominante de iones de bicarbonato y carbonato, en el sentido de que dan capacidad de consumo de ácido al producir una solución tampón (Merkel y Planer-Friedrich, 2005). En general, los intervalos de ocurrencia de propiedades como pH, turbidez y sólidos disueltos son correspondientes a un tipo de agua potable (Normas Sanitarias para la Calidad del Agua Potable. Gaceta Oficial N° 36395, febrero de 1998).

La tendencia general es que los valores de los parámetros fisicoquı́micos dentro del acuı́fero de San Diego se presenten en el intervalo más bajo hasta la frecuencia más alta en la mayor área del acuı́fero (norte, centro y sur) (Figuras 5, 7, 9 y 10) y aumentan en los intervalos promedio y máximo en la zona industrial y cerca del lago de Valencia, respectivamente. En cuanto a los parámetros bacteriológicos, como coliformes fecales, se encontraron valores inferiores a 1 NMP/100 mL con una frecuencia de ocurrencia del 60 %, ocurriendo principalmente en la zona residencial de los sectores norte a sur (Figura 10). Respecto a los coliformes totales fueron menores a 12 NMP/100 mL con una frecuencia de ocurrencia del 25 %.

Figura 5: Frecuencia de ocurrencia de concentraciones de aniones en los parámetros fisicoquı́micos y bacteriológicos en el agua de los pozos acuı́feros del municipio San Diego, estado Carabobo durante el periodo 1970-2021.

Fuente: Elaboración propia (2024). Adaptado de Márquez, Mercado y Rodrı́guez (2015), Márquez, Daza y Terán (2015), Márquez, Garcı́a y Mendoza (2015), Márquez, Jiménez y Cruz (2015), Márquez, Garcı́a y Ramı́rez (2015), Márquez, Farı́as y Vallejo (2016), Márquez, Palma y Vegas (2016), Márquez, Hernández y Vázquez (2016), Márquez, Carrizales y Urdaneta (2017), Márquez, Montilla y Quiñonez (2017), Márquez, Delgado y Vera (2017), Márquez, Quintero y Romero (2017), Márquez, Segura y Rodrı́guez (2017), Márquez, Cordero y Jiménez (2017), Márquez, Flores y Urdaneta (2018), Márquez, Monsalve y Villareal (2018), Márquez, Martı́n y Álvarez (2018), Márquez et al. (2019), Márquez, Garcı́a y Cárdenas (2017), Márquez et al. (2021).


Figura 6: Distribución espacial de las concentraciones de aniones en los parámetros fisicoquı́micos y bacteriológicos en el agua de los pozos acuı́feros del municipio San Diego, estado Carabobo durante el periodo 1970-2021.

Fuente: Elaboración propia (2024). Adaptado de Márquez, Mercado y Rodrı́guez (2015), Márquez, Daza y Terán (2015), Márquez, Garcı́a y Mendoza (2015), Márquez, Jiménez y Cruz (2015), Márquez, Garcı́a y Ramı́rez (2015), Márquez, Farı́as y Vallejo (2016), Márquez, Palma y Vegas (2016), Márquez, Hernández y Vázquez (2016), Márquez, Carrizales y Urdaneta (2017), Márquez, Montilla y Quiñonez (2017), Márquez, Delgado y Vera (2017), Márquez, Quintero y Romero (2017), Márquez, Segura y Rodrı́guez (2017), Márquez, Cordero y Jiménez (2017), Márquez, Flores y Urdaneta (2018), Márquez, Monsalve y Villareal (2018), Márquez, Martı́n y Álvarez (2018), Márquez et al. (2019), Márquez, Garcı́a y Cárdenas (2017), Márquez et al. (2021).


Figura 7: Frecuencia de ocurrencia de concentraciones de cationes en los parámetros fisicoquı́micos y bacteriológicos en el agua de los pozos acuı́feros del municipio San Diego, estado Carabobo durante el periodo 1970-2021.

Fuente: Elaboración propia (2024). Adaptado de Márquez, Mercado y Rodrı́guez (2015), Márquez, Daza y Terán (2015), Márquez, Garcı́a y Mendoza (2015), Márquez, Jiménez y Cruz (2015), Márquez, Garcı́a y Ramı́rez (2015), Márquez, Farı́as y Vallejo (2016), Márquez, Palma y Vegas (2016), Márquez, Hernández y Vázquez (2016), Márquez, Carrizales y Urdaneta (2017), Márquez, Montilla y Quiñonez (2017), Márquez, Delgado y Vera (2017), Márquez, Quintero y Romero (2017), Márquez, Segura y Rodrı́guez (2017), Márquez, Cordero y Jiménez (2017), Márquez, Flores y Urdaneta (2018), Márquez, Monsalve y Villareal (2018), Márquez, Martı́n y Álvarez (2018), Márquez et al. (2019), Márquez, Garcı́a y Cárdenas (2017), Márquez et al. (2021).


Figura 8: Distribución espacial de las concentraciones de cationes en los parámetros fisicoquı́micos y bacteriológicos en el agua de los pozos acuı́feros del municipio San Diego, estado Carabobo durante el periodo 1970-2019.

Fuente: Elaboración propia (2024). Adaptado de Márquez, Mercado y Rodrı́guez (2015), Márquez, Daza y Terán (2015), Márquez, Garcı́a y Mendoza (2015), Márquez, Jiménez y Cruz (2015), Márquez, Garcı́a y Ramı́rez (2015), Márquez, Farı́as y Vallejo (2016), Márquez, Palma y Vegas (2016), Márquez, Hernández y Vázquez (2016), Márquez, Carrizales y Urdaneta (2017), Márquez, Montilla y Quiñonez (2017), Márquez, Delgado y Vera (2017), Márquez, Quintero y Romero (2017), Márquez, Segura y Rodrı́guez (2017), Márquez, Cordero y Jiménez (2017), Márquez, Flores y Urdaneta (2018), Márquez, Monsalve y Villareal (2018), Márquez, Martı́n y Álvarez (2018), Márquez et al. (2019), Márquez, Garcı́a y Cárdenas (2017), Márquez et al. (2021).


Figura 9: Frecuencia de ocurrencia de las concentraciones de las propiedades en los parámetros fisicoquı́micos y bacteriológicos en el agua de los pozos acuı́feros del municipio de San Diego, estado Carabobo durante el periodo 1970-2021.

Fuente: Elaboración propia (2024). Adaptado de Márquez, Mercado y Rodrı́guez (2015), Márquez, Daza y Terán (2015), Márquez, Garcı́a y Mendoza (2015), Márquez, Jiménez y Cruz (2015), Márquez, Garcı́a y Ramı́rez (2015), Márquez, Farı́as y Vallejo (2016), Márquez, Palma y Vegas (2016), Márquez, Hernández y Vázquez (2016), Márquez, Carrizales y Urdaneta (2017), Márquez, Montilla y Quiñonez (2017), Márquez, Delgado y Vera (2017), Márquez, Quintero y Romero (2017), Márquez, Segura y Rodrı́guez (2017), Márquez, Cordero y Jiménez (2017), Márquez, Flores y Urdaneta (2018), Márquez, Monsalve y Villareal (2018), Márquez, Martı́n y Álvarez (2018), Márquez et al. (2019), Márquez, Garcı́a y Cárdenas (2017), Márquez et al. (2021).


Figura 10: Frecuencia de ocurrencia de las concentraciones de las propiedades en los parámetros fisicoquı́micos y bacteriológicos en el agua de los pozos del acuı́fero del municipio de San Diego, estado Carabobo durante el periodo 1970-2021.

Fuente: Elaboración propia (2024). Adaptado de Márquez, Mercado y Rodrı́guez (2015), Márquez, Daza y Terán (2015), Márquez, Garcı́a y Mendoza (2015), Márquez, Jiménez y Cruz (2015), Márquez, Garcı́a y Ramı́rez (2015), Márquez, Farı́as y Vallejo (2016), Márquez, Palma y Vegas (2016), Márquez, Hernández y Vázquez (2016), Márquez, Carrizales y Urdaneta (2017), Márquez, Montilla y Quiñonez (2017), Márquez, Delgado y Vera (2017), Márquez, Quintero y Romero (2017), Márquez, Segura y Rodrı́guez (2017), Márquez, Cordero y Jiménez (2017), Márquez, Flores y Urdaneta (2018), Márquez, Monsalve y Villareal (2018), Márquez, Martı́n y Álvarez (2018), Márquez et al. (2019), Márquez, Garcı́a y Cárdenas (2017), Márquez et al. (2021).


La presencia de sustancias quı́micas en el agua del acuı́fero y su calidad son consecuencia de la composición de los estratos que entran en contacto con el agua a partir de su infiltración en el suelo. Ası́, el agua que pasa de una condición superficial a subterránea varı́a su composición quı́mica al recibir compuestos minerales y al mismo tiempo pierde materia orgánica por su estrecho contacto o flujo a través del medio poroso que conforma el subsuelo.

Los parámetros de calidad obtenidos se comparan con los valores establecidos en el Decreto No. 3219, sobre Normas para la clasificación y control de la calidad de las aguas de la cuenca del lago de Valencia, y en aquellos casos de parámetros no contemplados en dicho decreto, se comparan con los valores dados en las Normas de Calidad del Agua Potable (Gaceta Oficial 36395), ver Tabla 8.

Tabla 8: Parámetros fı́sico-quı́micos del agua del acuı́fero y comparación con los estándares de calidad del agua.

Fuente: Márquez, Guevara y Rey (2018).


Dureza. Dureza total. En primer lugar, los análisis obtenidos de la dureza total arrojan resultados que oscilan entre 52 y 618 mg/L. Se observa que hacia el suroeste de la cuenca los valores tienden a ser mayores que hacia el centro y norte. La mayorı́a de los pozos arrojan valores por debajo del lı́mite de 500 mg/L del Decreto 3.219. La dureza del calcio está entre indetectable y 295 mg/L. La dureza del magnesio varı́a entre 22 y 232 mg/L.

Cloruros. Los resultados del análisis de las muestras indican concentraciones de cloruro en el rango de 5 a 80 mg/L, siendo los resultados más altos hacia el norte y en el extremo sur de la cuenca. Dado que el lı́mite es de 600 mg/L en el decreto 3219, y de 300 mg/L en las normas sanitarias para agua potable, se observa que es un parámetro que se cumple a cabalidad.

Sulfatos. Varı́an de 40 a 461 mg/L. Dado que el lı́mite establecido en el decreto 3219 es de 400 mg/L, se observa que en algunos casos se supera moderadamente, siendo estos los correspondientes a pozos ubicados más al sur, en el municipio de Los Guayos, más cerca del Lago de Valencia, mientras que en los pozos ubicados en San Diego el nivel es menor y sı́ cumple con el lı́mite. La consecuencia es que en los pozos situados al sur de la zona de la cuenca el agua no es apta para el abastecimiento doméstico.

Nitratos. Los valores obtenidos para este parámetro van desde no detectado hasta 18 mg/L. El Decreto 3219 indica como parámetro nitratos + nitritos como N, el cual debe ser inferior a 10 mg/L. Al igual que con los sulfatos, los valores más altos de nitrato se presentan en el extremo sur de la cuenca, pero hacia el norte son mucho menores, no superando los 5 mg/L en ningún pozo de esa zona.

Calcio. Se encuentran valores de 123 mg/L o menos. No existe regulación de este elemento en el Decreto 3219.

Sodio. Va desde cero (no detectable) hasta 219 mg/L. Este valor máximo se encuentra en los pozos ubicados más al sur, ya en el municipio de Los Guayos. No está mencionado en el decreto 3219 pero sı́ en el reglamento de agua potable, donde se establece que debe ser inferior a 200 mg/L en agua potable.

Sólidos disueltos. Se encuentran valores entre 87 y 1.384 mg/L, siendo mayores hacia el sur de la cuenca, cerca del lago de Valencia. El lı́mite del decreto 3.219 es de 1.500 mg/L, pero en las normas sanitarias de agua potable es de 1.000 mg/L, por lo que si se excede, pero se nota el mismo comportamiento que en otros parámetros de mayor mineralización del agua del sur.

Conductividad eléctrica. Se encuentra entre 200 µmohs/cm hacia el norte del acuı́fero y 2340 µmohs/cm hacia el extremo sureste. Este parámetro no está regulado en el Decreto 3219 ni en las normas sanitarias de agua potable. Al relacionarse con la presencia de sustancias disueltas en el agua, los resultados indican que en el norte y centro del acuı́fero el agua tiene concentraciones bajas a moderadas de minerales disueltos, pero en el sur es mayor, lo que puede explicarse por la intrusión de las aguas salobres del lago de Valencia.

En resumen, la mayorı́a de los parámetros fisicoquı́micos del agua del acuı́fero tienen variaciones espaciales, encontrándose que el norte y centro del acuı́fero tienen valores bajos o medios, y el extremo sur (pozos N° 26, 27 y 28) tienen los mismos valores más altos asociados a una alta mineralización. La causa más probable es la intrusión de agua salobre del lago de Valencia al acuı́fero, principalmente durante la estación seca cuando no hay infiltración directa del agua de precipitación; mientras que al norte y el perı́metro montañoso de la cuenca existe una recarga natural del acuı́fero de menor mineralización, probablemente de origen geológico.

En cuanto a las variaciones en el tiempo, según cifras del trabajo de Márquez, Guevara y Rey (2018), en el perı́odo analizado estas variaciones de los parámetros fı́sico-quı́micos no son significativas, debido a que existen valores similares de cada parámetro desde el año 2015 hasta 2018


Estimación de los parámetros geofı́sicos e hidráulicos del acuı́fero del municipio San Diego, estado Carabobo, Venezuela


Estimación de los parámetros geofı́sicos del acuı́fero del municipio San Diego, estado Carabobo, Venezuela

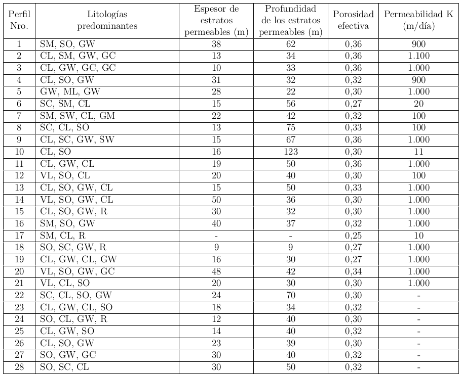
El conjunto de litologı́as recopiladas a partir de los registros del Ministerio de Ecosocialismo y Aguas ofrece una descripción del subsuelo en la zona del acuı́fero en cada sitio donde se han perforado pozos profundos (Figura 11). La litologı́a del suelo muestra caracterı́sticas esenciales, ya que el tipo de suelo en cada nivel está asociado a la presencia de estratos acuı́feros, acuitardos o acuicludos, y por tanto se relaciona con la condición de los estratos acuı́feros como libres, confinados o semiconfinados (Bear y Cheng, 2010).

Figura 11: Identificación en la zona del acuı́fero de 28 pozos con registro de perfiles litológicos y datos de relieve.

Fuente: Márquez, Guevara y Rey (2018).

Teniendo en cuenta que las propiedades hidráulicas más importantes de un acuı́fero son la de almacenar agua y transmitirla, se presentan los valores de porosidad efectiva, el coeficiente de almacenamiento S, la conductividad hidráulica y la transmisividad T. En la Tabla 9 se muestra el listado de perfiles obtenidos con los datos de los pozos registrados en el Ministerio de Ecosocialismo, indicando en cada caso las litologı́as predominantes en orden descendente, dando el espesor total de los estratos permeables (no necesariamente contiguos) y la profundidad promedio de estos estratos.

Tabla 9: Resumen de parámetros geofı́sicos litologı́as, porosidad efectiva y permeabilidad en registros de 28 pozos del acuı́fero San Diego, estado Carabobo.

Fuente: Elaboración propia (2024).

Aquı́ se observa en primer lugar la alternancia entre capas de materiales granulares permeables (arena bien clasificada SW, grava bien clasificada GW) y capas de materiales impermeables (arcilla CL de baja compresibilidad, limo ML de baja compresibilidad). Al detallar la ubicación de cada pozo, se encuentra que los ubicados al norte de la cuenca presentan principalmente material tipo CL y GW; en el centro y sur existen estratos de CL y SW. En la Tabla 9 se muestran los valores aproximados de porosidad y permeabilidad efectiva, con base en el trabajo de Márquez, Guevara y Rey (2018), siendo estimados a través de la clasificación litológica de los estratos.


Estimación de los parámetros hidráulicos del acuı́fero del municipio San Diego, estado Carabobo, Venezuela

Los resultados de las estimaciones de los parámetros hidráulicos del acuı́fero del municipio de San Diego se muestran en la Tabla 10, Figuras 12 y 13, compuestas por la transmisividad y el coeficiente de almacenamiento arrojaron valores medios de 50,46 m2 /dı́a y 8, 9 × 10−5 , respectivamente, presentando una alta variabilidad que estuvo asociada a la capacidad de los equipos de bombeo utilizados en cada pozo, como se observa en la Figura 3, el flujo de bombeo aumentó del sector norte al sector industrial en el orden de 5 a 20 veces, lo que provocó que incidiera en el aumento de la transmisibilidad del acuı́fero y una consecuente disminución en el coeficiente de almacenamiento.

En la Figura 12 se observa que el coeficiente de almacenamiento fue menor a 1 × 10-4 con una frecuencia de ocurrencia entre 60 y 70 %. Según Bear y Cheng (2010), el coeficiente de almacenamiento que varı́a entre 1 × 10-4 y 1 × 10-5 corresponde a un acuı́fero kárstico confinado formado a partir de calizas y dolomı́as, lo cual concuerda con los valores significativos encontrados para el bicarbonato de calcio, discutido en la sección anterior.

Tabla 10: Resumen de los parámetros estadı́sticos de los coeficientes de transmisividad y almacenamiento en el acuı́fero del municipio de San Diego en el periodo 2015-2019.


Fuente: Elaboración propia (2024). Adaptado de Márquez, Mercado y Rodrı́guez (2015), Márquez, Daza y Terán (2015), Márquez, Garcı́a y Mendoza (2015), Márquez, Jiménez y Cruz (2015), Márquez, Garcı́a y Ramı́rez (2015), Márquez, Farı́as y Vallejo (2016), Márquez, Palma y Vegas (2016), Márquez, Hernández y Vázquez (2016), Márquez, Carrizales y Urdaneta (2017), Márquez, Montilla y Quiñonez (2017), Márquez, Delgado y Vera (2017), Márquez, Quintero y Romero (2017), Márquez, Segura y Rodrı́guez (2017), Márquez, Cordero y Jiménez (2017), Márquez, Flores y Urdaneta (2018), Márquez, Monsalve y Villareal (2018), Márquez, Martı́n y Álvarez (2018), Márquez et al. (2019), Márquez, Garcı́a y Cárdenas (2017), Márquez et al. (2021).

Figura 12: Frecuencia de ocurrencia del coeficiente de almacenamiento acuı́fero del municipio San Diego, estado Carabobo durante el periodo 2015-2018.

Fuente: Elaboración propia (2024). Adaptado de Márquez, Mercado y Rodrı́guez (2015), Márquez, Daza y Terán (2015), Márquez, Garcı́a y Mendoza (2015), Márquez, Jiménez y Cruz (2015), Márquez, Garcı́a y Ramı́rez (2015), Márquez, Farı́as y Vallejo (2016), Márquez, Palma y Vegas (2016), Márquez, Hernández y Vázquez (2016), Márquez, Carrizales y Urdaneta (2017), Márquez, Montilla y Quiñonez (2017), Márquez, Delgado y Vera (2017), Márquez, Quintero y Romero (2017), Márquez, Segura y Rodrı́guez (2017), Márquez, Cordero y Jiménez (2017), Márquez, Flores y Urdaneta (2018), Márquez, Monsalve y Villareal (2018), Márquez, Martı́n y Álvarez (2018), Márquez et al. (2019), Márquez, Garcı́a y Cárdenas (2017), Márquez et al. (2021).

En la Figura 13 se observa que la transmisividad < 50 m2/dı́a se presentó con una frecuencia del 80 %, según Bear y Cheng (2010), la transmisividad variando entre 10 y 100 m2/dı́a es un valor muy de baja a baja, lo cual ocurrió en el área de uso residencial del acuı́fero del Municipio de San Diego (Figura 13).

Figura 13: Frecuencia de ocurrencia del coeficiente de transmisividad del acuı́fero del municipio San Diego, estado Carabobo durante el periodo 2015-2019.

Fuente: Elaboración propia (2024). Adaptado de Márquez, Mercado y Rodrı́guez (2015), Márquez, Daza y Terán (2015), Márquez, Garcı́a y Mendoza (2015), Márquez, Jiménez y Cruz (2015), Márquez, Garcı́a y Ramı́rez (2015), Márquez, Farı́as y Vallejo (2016), Márquez, Palma y Vegas (2016), Márquez, Hernández y Vázquez (2016), Márquez, Carrizales y Urdaneta (2017), Márquez, Montilla y Quiñonez (2017), Márquez, Delgado y Vera (2017), Márquez, Quintero y Romero (2017), Márquez, Segura y Rodrı́guez (2017), Márquez, Cordero y Jiménez (2017), Márquez, Flores y Urdaneta (2018), Márquez, Monsalve y Villareal (2018), Márquez, Martı́n y Álvarez (2018), Márquez et al. (2019), Márquez, Garcı́a y Cárdenas (2017), Márquez et al. (2021).

Figura 14: Distribución espacial del coeficiente de transmisividad del acuı́fero del municipio San Diego, estado Carabobo durante el periodo 2015-2019.

Fuente: Elaboración propia (2024). Adaptado de Márquez, Mercado y Rodrı́guez (2015), Márquez, Daza y Terán (2015), Márquez, Garcı́a y Mendoza (2015), Márquez, Jiménez y Cruz (2015), Márquez, Garcı́a y Ramı́rez (2015), Márquez, Farı́as y Vallejo (2016), Márquez, Palma y Vegas (2016), Márquez, Hernández y Vázquez (2016), Márquez, Carrizales y Urdaneta (2017), Márquez, Montilla y Quiñonez (2017), Márquez, Delgado y Vera (2017), Márquez, Quintero y Romero (2017), Márquez, Segura y Rodrı́guez (2017), Márquez, Cordero y Jiménez (2017), Márquez, Flores y Urdaneta (2018), Márquez, Monsalve y Villareal (2018), Márquez, Martı́n y Álvarez (2018), Márquez et al. (2019), Márquez, Garcı́a y Cárdenas (2017), Márquez et al. (2021).


Estimación de los parámetros del balance de agua subterránea del acuı́fero de San Diego en el periodo 2015-2018


Las Tablas 11, 12, 13 y 14 resumen la precipitación, evapotranspiración, infiltración y volumen extraı́do donde se muestran los valores mı́nimo y máximo y el valor acumulado en la cuenca se calcula con el promedio de ambos valores. El equilibrio de la cuenca se puede expresar con la ecuación (4), que establece que el aporte de la precipitación (en un perı́odo de tiempo determinado) debe ser igual a la suma del escurrimiento más la evapotranspiración más la infiltración. Se considera que los datos disponibles en las fuentes consultadas no permiten un cálculo preciso de los componentes del balance, debido principalmente a la ausencia de datos de escorrentı́a superficial. Sin embargo, los mismos datos muestran el orden de magnitud de los componentes esenciales del balance.


Tabla 11: Precipitación en la zona del acuı́fero del municipio San Diego, estado Carabobo, expresada en mm totales por mes.

Fuente: Elaboración propia (2024).

Tabla 12: Evapotranspiración en el área del acuı́fero del municipio San Diego, estado Carabobo, expresada en mm totales por mes.

Fuente: Elaboración propia (2024).

Tabla 13: Infiltración en el área del acuı́fero del municipio San Diego, estado Carabobo, expresada en mm totales por mes.

Fuente: Elaboración propia (2024).

Tabla 14: Volumen extraı́do con pozos profundos del acuı́fero del municipio San Diego, estado Carabobo, expresado en m3/año.

Fuente: Elaboración propia (2024).


Análisis de la influencia de los constituyentes hidrogeoquı́micos del acuı́fero en el uso sostenible del agua

Para establecer el uso sustentable del agua subterránea se deben considerar los siguientes aspectos: a) disponibilidad del recurso hı́drico, b) tasa de extracción y rendimiento seguro, c) calidad, d) protección ambiental de las áreas de recarga, e) planificación del sistema de abastecimiento basado en la gestión integrada de recursos.


Disponibilidad de recursos hı́dricos

Con base en el concepto de porosidad y permeabilidad efectiva se realizó una estimación del volumen de agua subterránea potencialmente extraı́ble, que es la base para el cálculo de la disponibilidad, encontrando que el caudal máximo de extracción serı́a de 1.390 L/s.

Estimación del volumen almacenado

  1. Área total del acuı́fero: Aa = 117 Km2
  2. Espesor promedio de acuı́fero (hac). Se toma del promedio de los espesores de la Tabla 9: hac = 23 m
  3. Volumen total del acuı́fero (Vac) Vac = 117 × (106 m2/Km2) × 23m = 26, 910 × 109 m3 = 26.910Km3
  4. Porosidad total = entre 12 y 40 %
  5. Porosidad eficaz = 0,32
  6. Volumen de agua que puede almacenar el acuı́fero (Va): Va = 26.910 Km3 × 0, 32 = 8.611 Km3
  7. Recarga estimada = infiltración. De los datos del balance, se tiene que la infiltración total en un año es en promedio de 370 mm/año. Esto equivale a un volumen:

    Vol.Aguarecibe = 0, 37m/a × 117 × 106m2 = 43, 3 × 106 m3/a

    Si se la extracción fuese la misma que la entrada de recarga, la tasa de extracción máxima serı́a:


  8. Qmáx = 43,3 × 106 m3/a × (1/(12 meses × 30 dias × 24 h)) = 5.010 m3/h

    Qmáx = 1.390 L/s
Se observa que ese caudal es mucho mayor que la extracción actual con los pozos profundos activos.

Tasa de extracción

No existe un criterio único para establecer cuál es la tasa de extracción que implique un equilibrio entre el aporte de agua o recarga y la extracción. Teóricamente, si se bombearan 1.390 L/s cada año, ese volumen serı́a reemplazado por recarga y el nivel del agua en el acuı́fero tenderı́a a permanecer estable. Pero la realidad es que el acuı́fero como sistema tiene las siguientes caracterı́sticas: a) es heterogéneo en su totalidad; b) la extracción por bombeo utiliza agua de diferentes capas acuı́feras, que pueden ser de tres tipos: libres, confinadas y semiconfinadas, lo que implica diferentes efectos en la reducción del nivel piezométrico; c) se desconoce el ritmo de recarga, pero la existencia de capas impermeables alternas con las del acuı́fero implica que los tiempos de recarga del acuı́fero confinado deben ser muy largos, del orden de décadas o cientos de años.

Por otro lado, se revisa la demanda de agua del sistema de acueducto en la zona de estudio y su comparación con el aporte de agua subterránea y agua del sistema principal. Las demandas de agua potable para la zona del acuı́fero se basan en datos poblacionales obtenidos del Instituto Nacional de Estadı́stica (2014), con una tasa de crecimiento aritmético del 4 % anual. Se calcula con el valor de consumo per cápita recomendado en las normas del Instituto Nacional de Obras Sanitarias, de 300 litros/persona-dı́a (L/p − dia).


Calidad del agua extraı́da

La calidad del agua que se extrae en el norte y centro de la zona del acuı́fero es buena, lo que permite clasificarla como tipo 1A, según el Decreto 883 e incluso clasificarla como “agua potable” según normas sanitarias, previa desinfección. Esto significa que se puede considerar conveniente la extracción de agua subterránea para incorporarla directamente a las redes de acueductos de San Diego, confirmando uno de los requisitos para que su explotación sea sostenible. Por otro lado, los niveles de mineralización hacia el extremo sur del acuı́fero no se corresponden con el uso para abastecimiento urbano.


Gestión integrada de los recursos hı́dricos

Los resultados de esta investigación respecto a las caracterı́sticas hidrogeológicas del acuı́fero, la calidad del agua y su disponibilidad, permiten proponer un modelo de gestión para el uso del agua subterránea de manera integrada con el sistema de abastecimiento del municipio de San Diego desde el Sistema Regional Central. Está comprobado que actualmente se aprovechan ambas fuentes de agua, pero no de manera planificada e integrada.

La producción de pozos profundos actualmente satisface las necesidades de algunas personas, urbanizaciones o empresas que no reciben regularmente agua del sistema principal y por lo tanto, ya sea por la empresa hidrológica, el gobierno local o regional, o por cuenta propia, han construido sus pozos profundos y por lo tanto tienen esta fuente alternativa únicamente. Por esta razón, el flujo proveniente de los pozos, en su mayor parte, se incorpora de forma sectorizada a porciones de las redes de distribución, sin opción a redistribuir estos flujos (Sánchez, 2013).

Es importante señalar que la producción total de los pozos profundos es del orden de 400 L/s, lo que no cubre el suministro planificado para la población, superior a los 500 L/s, por lo que actualmente no es posible cubrir la demanda de agua sin el suministro de agua de San Diego por parte del Sistema Regional Central. A través de este sistema hay un aporte muy variable que promedia 250 L/s durante los perı́odos de bombeo. Sin embargo, este bombeo se realiza en ciclos de 72 a 96 horas como máximo, cada semana, de 168 horas semanales, por lo que 250 L/s en realidad equivalen a un promedio de 110 a 180 L/s.


Conclusiones


Los resultados de este trabajo han demostrado que en la cuenca existe diversidad de condiciones hidrogeológicas del subsuelo, encontrando que su litologı́a y otras caracterı́sticas fı́sicas no son uniformes en todos los sitios estudiados. Dentro de la variedad de propiedades, se encuentra que el subsuelo, en un recorrido vertical, se caracteriza por tener alternancia de estratos permeables, semipermeables e impermeables, concluyendo que el acuı́fero comprende un conjunto de capas acuı́feras semiconfinadas y confinadas.

En cuanto a la calidad del agua, se concluye que la extracción e incorporación de agua subterránea a las redes de acueductos locales en el área de estudio, el municipio de San Diego, es factible, requiriendo únicamente una desinfección previa.

Los resultados de los estudios realizados en el periodo 2015 al 2018 muestran que la variación en el tiempo de los constituyentes hidrogeológicos y fı́sico-quı́micos no es significativa, aunque es un periodo corto, implica condiciones estables en la hidrologı́a y composición del acuı́fero. Por otro lado, es notable la variación espacial de estos parámetros, destacando la diferencia en la calidad del agua proveniente del norte y centro de la cuenca, respecto a la de los pozos ubicados más al sur, donde se destaca la alta presencia de minerales y otros constituyentes implica que no es un tipo adecuado para incorporarse directamente al suministro de agua.

El balance de los aportes de agua para abastecimiento urbano en el área de San Diego permite establecer que en las condiciones actuales, el aporte de agua subterránea es requerido, ya que el Sistema Regional Central abastece sólo la mitad de la demanda de manera irregular en promedio. Los pozos profundos que existen actualmente han sido construidos para atender necesidades especı́ficas de planificación urbanı́stica o de determinados sectores o industrias, cumpliendo ese papel hasta el momento, pero hay que considerar de forma decisiva la forma en que se puedan distribuir estos caudales a toda la red, bajo gestión. la empresa hidrológica o la autoridad municipal.

La fuente subterránea tiene las condiciones para complementar la demanda de forma sostenible, pero la forma en que se utiliza actualmente no se basa en un modelo de gestión integrada adecuado de ambos suministros.


Referencias


Aguerrevere, S., y Zuloaga, G. (2003). Observaciones geológicas en la parte central de la cordillera de la costa - Venezuela. Academia Nacional de la Ingenierı́a y el Hábitat.

American Water Works Association. (1998). A100-97: AWWA Standard for water wells. ANSI/AWWA. https://studylib.net/doc/27021451/a100-97

Asamblea Nacional de la República Bolivariana de Venezuela. (2007). Ley de Aguas. Gaceta oficial de la República Bolivariana de Venezuela N° 38595. https://www.asambleanacional.gob.ve/storage/documentos/leyes/ley-de-agu-20220208194620.pdf

Bear, J., y Cheng, A. (2010). Modelado del flujo de aguas subterráneas y el transporte de contaminantes. Saltador.

Centro de Pensamiento Independiente. (2016). Informe Nacional Voluntario de Venezuela ante el Foro Polı́tico de Alto Nivel de las Naciones Unidas de 2016. CEPEI. https://cepei. org/wp-content/uploads/2021/05/VNR Venezuela V2.pdf

Cunningham, W., y Schalk, C. (2014). Procedimientos técnicos de aguas subterráneas del Servicio Geológico de Estados Unidos: Técnicas y métodos del Servicio Geológico de EE. UU. 1–A1. USGS.

Galán, C., y Herrera, F. (2017). Rı́os subterráneos y acuı́feros kársticos de Venezuela: inventario, situación y conservación. Rı́os en riesgo, 1, 153-171.

Guevara, E., y Cartaya, H. (2004). Hidrologı́a ambiental. Universidad de Carabobo.

Hengl, T. (2007). A practical guide to geostatistical mapping of environmental variables. Office For Official Publications Of The European Communities, 140. https://is.muni.cz/publication/851115/n/A-Practical-Guide-to-Geostatistical-Mapping-of-Environmental-Variables/Hengl


http://mriuc.bc.uc.edu.ve/handle/123456789/8824

Huguet-Sierra, G., Márquez-Romance, A., Guevara-Pérez, E., Pérez-Pacheco, S., y Buroz-Castillo, E. (2023). Sustainable use of water from a tropical aquifer. Environmental Quality Management, 33 (1), 257-277. https://onlinelibrary.wiley.com/doi/10.1002/tqem.22053

Instituto Colombiano de Normas Técnicas y Certificación. (2007). NTC 5539 Pozos Profundos de Agua. icontec. https://www.icontec.org/rules/pozos-profundos-de-agua/

Instituto Nacional de Estadı́stica. (2014). XIV Censo nacional de población y vivienda: Resultados total nacional de la República Bolivariana de Venezuela (G. G. de Estadı́sticas Demográficas, Ed.). Gerencia de Censo de Población y Vivienda. http://www.ine.gob.ve/documentos/Demografia/CensodePoblacionyVivienda/pdf/nacional.pdf

International organization for standardization. (2017). ISO/IEC 17025:2017: General requirements for the competence of testing and calibration laboratories. Online Browsing Platform. https://www.iso.org/obp/ui/#iso:std:iso-iec:17025:ed-3:v1:en

Kirsch, R. (2006). Groundwater geophysics: A tool for hydrogeology (R. Kirsch, Ed.; 2.a ed.). Springer. https://acortar.link/D6vyas

Márquez, A., Absalón, O., y Bravo, R. (2021). Análisis de la variación de los parámetros hidráulicos en el acuı́fero del municipio San Diego: Sector norte – c, pozo n° 2, coord. Lat.: 10°16’0.30”N; Longitud: 67°57’42.68.O, periodo 2019 [Tesis de pregrado]. Universidad de Carabobo. http://riuc.bc.uc.edu.ve/handle/123456789/8748

Márquez, A., y Carrillo, F. (2015). Vulnerabilidad hidrogeológica del acuı́fero del municipio de San Diego, Estado Carabobo [Tesis de Maestrı́a]. Universidad de Carabobo. http://www.riuc.bc.uc.edu.ve/bitstream/123456789/2420/1/vcarrillo.pdf

. Márquez, A., Carrizales, A., y Urdaneta, L. (2017). Análisis de los parámetros hidráulicos del acuı́fero del municipio san diego durante el 2017: Sector centro [Tesis de pregrado]. Universidad de Carabobo. http://riuc.bc.uc.edu.ve/handle/123456789/8737

. Márquez, A., Cejas, E., y Sánchez, F. (2019). Análisis de la variación de los parámetros hidráulicos en el acuı́fero del municipio San Diego: Sector norte – c, pozo n°6. Coordinación. Lat.: 10°15’42.4”N; Largo: 67°57’47.7”O, periodo 2018-2019 [Tesis de pregrado]. Universidad de Carabobo. http://riuc.bc.uc.edu.ve/handle/123456789/8747

. Márquez, A., Cordero, P., y Jiménez, R. (2017). Análisis de los parámetros hidráulicos del acuı́fero del Municipio San Diego durante 2017: Sector norte [Tesis de pregrado]. Universidad de Carabobo. http://riuc.bc.uc.edu.ve/handle/123456789/8739

Márquez, A., Daza, B., y Terán, F. (2015). Elaboración de mapas de propiedades hidrogeoquı́micas del acuı́fero del municipio San Diego durante el año 2014: Caso: sector sur y zona industrial [Tesis de pregrado]. Universidad de Carabobo. http://riuc.bc.uc.edu.ve/handle/123456789/8729

Márquez, A., Delgado, C., y Vera, A. (2017). Estimación de parámetros hidráulicos en el acuı́fero del municipio san diego, estado Carabobo en el año 2017: Sector zona industrial [Tesis de pregrado]. Universidad de Carabobo. http://riuc.bc.uc.edu.ve/handle/123456789/8738

Márquez, A., Farı́as, Y., y Vallejo, M. (2016). Elaboración de mapas de propiedades hidrogeoquı́micas del acuı́fero del municipio San Diego del estado Carabobo durante el año 2015: Caso sector norte B y C [Tesis de pregrado]. Universidad de Carabobo. http://riuc.bc.uc.edu.ve/handle/123456789/8735

Márquez, A., Flores, A., y Urdaneta, S. (2018). Análisis de la variación de los parámetros hidráulicos en el acuı́fero del municipio San Diego: Sector centro-b [Tesis de pregrado]. Universidad de Carabobo. http://riuc.bc.uc.edu.ve/handle/123456789/8745

Márquez, A., Garcı́a, B., y Mendoza, E. (2015). Elaboración de mapas de propiedades hidrogeoquı́micas del acuı́fero del municipio san diego del Estado Carabobo durante el año 2015: Caso de estudio: sector norte A [Tesis de pregrado]. Universidad de Carabobo. http://riuc.bc.uc.edu.ve/handle/123456789/8736

Márquez, A., Garcı́a, E., y Cárdenas, M. (2017). Análisis de la variación de los parámetros hidráulicos en el acuı́fero del municipio San Diego: Sector norte – c, pozo n° 1, coord. Lat.: 10°16’1.91”n; Longitud: 67°57’34.30.o, perı́odo 2019 [Tesis de pregrado]. Universidad de Carabobo.

Márquez, A., Garcı́a, R., y Ramı́rez, E. (2015). Elaboración de mapas de propiedades hidrogeoquı́micas del acuı́fero del municipio San Diego del Estado Carabobo durante el año 2014: Caso sector norte [Tesis de pregrado]. Universidad de Carabobo. http://riuc.bc.uc.edu.ve/handle/123456789/8731

Márquez, A., Guevara, E., y Rey, D. (2018). Modelación Geoestadı́stica Espacio-temporal de Parámetros Hidrogeoquı́micos en el Acuı́fero de San Diego, Venezuela. Journal of Remote Sensing GIS and Technology, 4 (3). http://matjournals.in/index.php/JORSGT/article/view/2799

Márquez, A., Hernández, C., y Vázquez, F. (2016). Estimación de parámetros hidráulicos en el acuı́fero del municipio san diego, estado Carabobo en el año 2016: Sector zona industrial [Tesis de pregrado]. Universidad de Carabobo. http://riuc.bc.uc.edu.ve/handle/123456789/8734

Márquez, A., Jiménez, L., y Cruz, E. (2015). Elaboración de mapas de propiedades hidrogeoquı́micas del acuı́fero del municipio san diego durante el año 2015: Caso: zona centro [Tesis de pregrado]. Universidad de Carabobo. http://riuc.bc.uc.edu.ve/handle/123456789/8730

Márquez, A., Martı́n, P., y Álvarez, Y. (2018). Análisis de los parámetros hidráulicos del acuı́fero del municipio san diego durante 2018: Sector centro-A [Tesis de pregrado]. Universidad de Carabobo. http://riuc.bc.uc.edu.ve/handle/123456789/8743

Márquez, A., Mercado, A., y Rodrı́guez, R. (2015). Elaboración de mapas de propiedades hidrogeoquı́micas del acuı́fero del municipio san diego durante el año 2014: Caso: zona centro A, B y C [Tesis de pregrado]. Universidad de Carabobo. http://riuc.bc.uc.edu.ve/handle/123456789/8732

Márquez, A., Monsalve, G., y Villareal, H. (2018). Análisis de los parámetros hidráulicos del acuı́fero del municipio san diego durante 2018: Sector centro-a [Tesis de pregrado]. Universidad de Carabobo. http://riuc.bc.uc.edu.ve/handle/123456789/8742

Márquez, A., Montilla, A., y Quiñonez, A. (2017). Análisis de los parámetros hidráulicos del acuı́fero del municipio san diego durante 2017: Sector industrial [Tesis de pregrado]. Universidad de Carabobo. http://riuc.bc.uc.edu.ve/handle/123456789/8744

Márquez, A., Palma, M., y Vegas, D. (2016). Estimación de parámetros hidráulicos del acuı́fero del municipio San Diego, Estado Carabobo. Zona norte [Tesis de licenciatura]. Universidad de Carabobo. http://www.riuc.bc.uc.edu.ve/handle/123456789/5465

Márquez, A., Quintero, G., y Romero, M. (2017). Evaluación del proceso de descarga - recarga del acuı́fero, Municipio San Diego del Estado Carabobo [Tesis de pregrado]. Universidad de Carabobo. http://riuc.bc.uc.edu.ve/handle/123456789/8740

Márquez, A., Segura, J., y Rodrı́guez, M. (2017). Estimación de los parámetros hidro-geoquı́micos del acuı́fero de San Diego, caso perı́odo lluvioso 2017 [Tesis de pregrado]. Universidad de Carabobo. http://riuc.bc.uc.edu.ve/handle/123456789/874

Matheron, G. (1963). Principles of geostatistics. Economic Geology And The Bulletin Of The Society Of Economic Geologists, 58 (8), 1246-1266. https://doi.org/10.2113/gsecongeo.58.8.1246

Merkel, B., y Planer-Friedrich, B. (2005). Groundwater geochemistry: A practical guide to modeling of natural and contaminated aquatic systems (D. K. Nordstrom, Ed.). Springer eBooks. https://doi.org/10.1007/b138774

National Development Planning Commission. (2019). GHANA: Voluntary National Review Report on the Implementation of the 2030 Agenda for Sustainable Development. NDPC. https://ghana.un.org/sites/default/files/2019-10/23420VNR_Report_Ghana_Final_print.pdf

Potter, M., Wiggert, D., y Ramadan, B. (2012). Mechanics of Fluid (4.a ed.). CENGAGE Learning.

Rice, E., Bridgewater, L., Association, A. P. H., Association, A. W. W., y Federation, W. E. (2012). Standard Methods for the Examination of Water and Wastewater. American Public Health Association. https://books.google.co.ve/books?id=dd2juAAACAAJ

Sánchez, J. (2013). Reingenierı́a de la aducción de agua potable comprendida desde la estación de bombeo Castillito, municipio San Diego, estado Carabobo [Tesis de maestrı́a]. Universidad de Carabobo.

Theis, C. (1935). La relación entre el descenso de la superficie piezométrica y la velocidad y duración de la descarga de un pozo que utiliza almacenamiento de agua subterránea. Eos, Transacciones Unión Geofı́sica Estadounidense, 16 (2), 519-524. https://onlinelibrary.wiley.com/doi/10.1002/tqem.22053

Urbani, F. (2005). Sı́ntesis de la nomenclatura de las unidades de rocas ı́gneas y metamórficas de la cordillera de la costa, Venezuela. Boletı́n Técnico, 43 (2), 1-10.

Urbani, F., Contreras, O., y Barrios, F. (1989). Reconocimiento geológico de la región de El Palito - Valencia - Mariara - Carabobo. En S. V. de Geologı́a (Ed.), VII Congreso Geológico Venezolano: memoria (pp. 175-198, Vol. 2).

Urbani, F., Contreras, O., Barrios, F., Garcı́a, I., Aranguren, A., y Uzcátegui, R. (1989). Cartografı́a geológica de flanco sur del macizo de El Ávila desde Maripérez hasta Izcaragua, Cordillera de la Costa, D. F. y estado Miranda, Venezuela. En S. V. de Geologı́a (Ed.), VIII Congreso Geológico Venezolano: memoria (pp. 463-468, Vol. 2).

World Forum Economic. (2020). The Global Risks Report 2020 (15.a ed.). https://www3.weforum.org/docs/WEF_Global_Risk_Report_2020.pdf