Validación de técnicas geoestadísticas para estimación de caudales en cuencas sin registro

Validación de técnicas geoestadísticas para estimación de caudales en cuencas sin registro


Validation of geostatistical techniques for flow estimation in unregistered watersheds


Mairim MárquezORCID logo1

Adriana MárquezORCID logo2

Bettys Farı́asORCID logo3

Edilberto GuevaraORCID logo4

Sergio PérezORCID logo5

Eduardo BurozORCID logo6

Universidad de Carabobo, Carabobo, Venezuela1, 2, 3, 4, 5

Universidad Central de Venezuela, Caracas, Venezuela6

mmarquer@uc.edu.ve1

ammarquez@uc.edu.ve2

bfarias@uc.edu.ve3

eguevara@uc.edu.ve4

sperez@uc.edu.ve5

eduardo.buroz@gmail.com6

Fecha de recepción: 04/07/2024
Fecha de aceptación: 05/05/2025
Pág: 60 – 100
DOI: 10.5281/zenodo.18163368

Resumen

En este estudio se validan técnicas avanzadas para estimación de caudales en cuencas sin registro, involucrando a microcuencas de quebradas Quintana (N°1) y Cantilote (N°2), Estado Carabobo. Las características geomorfológicas de las microcuencas se obtuvieron procesando modelos de elevación digital adquiridos desde satélites ALOS PALSAR y ASTER mediante herramientas ArcGIS V-10.0 y ENVI V-4.7. Las técnicas incluyeron dos modelos para predicción espacial de variables hidrometeorológicas. El primero involucró componentes determinísticos y estocásticos, calibrados usando dos series de tiempo (ST). La ST-1 consistió de 227 estaciones de precipitación y 62 de evaporación colectados por Ministerio del Ambiente y Recursos Naturales Renovables (M.A.R.N.) en el período 1980-1999. La ST-2 abarcó registros desde 28 estaciones de precipitación y 18 de evapotranspiración colectados por Instituto Nacional de Meteorología e Hidrología (INAMEH) en el período 2015-2018. El segundo estimó precipitación efectiva, recibiendo mapas de precipitación de ST-2, del coeficiente de escorrentía desde la predicción de usos y coberturas terrestres (UCT) y el tipo de suelo. Los UCTs fueron estimados sobre 59 imágenes del satélite Landsat 8OLI en el período 2015-2018 aplicando clasificación supervisada. La validación se realizó con observaciones de compañía Hidrológica del Centro y resultó coeficientes R2 0.95-0.98. El flujo subterráneo fue estimado usando información de niveles de agua y perfiles litológicos de estudios MARN -INAMEH. La producción hídrica mensual para ST-1 y ST-2 durante época lluviosa para microcuencas N° 1 y 2 resultó 120,000 m3/mes, y 30,000 m3/mes, para probabilidad de excedencia 80 %. El aporte subterráneo fue 100 veces menor al flujo superficial.

Palabras clave: imágenes satelitales, modelos de elevación digital, modelos estocásticos, modelos determinísticos.



Abstract

This study validates advanced techniques for estimating flows in basins without registration, involving micro-basins of Quintana (No. 1) and Cantilote (No. 2) streams, Carabobo State. The geomorphological characteristics of the micro-basins were obtained by processing digital elevation models acquired from the ALOS PALSAR and ASTER satellites using ArcGIS V-10.0 and ENVI V-4.7 tools. The techniques included two models for spatial prediction of hydrometeorological variables. The first involved deterministic and stochastic components, calibrated using two time series (TS). TS-1 consisted of 227 precipitation stations and 62 evaporation stations collected by the Ministry of the Environment and Renewable Natural Resources (M.A.R.N.) in the period 1980-1999. TS-2 included records from 28 precipitation stations and 18 evapotranspiration stations collected by the National Institute of Meteorology and Hydrology (INAMEH) in the period 2015-2018. The second estimated effective precipitation, receiving precipitation maps from ST-2, the runoff coefficient from the prediction of land use and land cover (LULC) and the type of soil. The LULCs were estimated on 59 images from the Landsat 8OLI satellite in the period 2015-2018 applying supervised classification. The validation was carried out with observations from the Hydrological Company of the Center and resulted in coefficients R2 0.95-0.98. The grounwater flow was estimated using information on water levels and lithological profiles from MARN-INAMEH studies. The monthly water production for TS-1 and TS-2 during the rainy season for micro-basins N ° 1 and 2 was 120,000 m3 / month, and 30,000 m3 / month, for a probability of 80% exceedance. The underground contribution was 100 times less than the surface flow.

Key words: satellite images, digital elevation models, stochastic models, deterministic models.



Esta obra está bajo licencia CC BY-NC-SA 4.0


Introducción


En este estudio se presenta una estimación de la producción hídrica mensual de las microcuencas de las Quebradas Quintana y Cantilote, tributarios de la cuenca del río Paíto, Estado Carabobo. El estudio está fundamentado en una estimación mediante balance hídrico mensual y predicción de la escorrentía directa ocurrida durante dos períodos 1980-2000 y 2015-2018. El balance hídrico mensual se realizó sobre la superficie del terreno, incluyendo componentes de entrada-salida asociados a la precipitación, como principal variable de entrada y las pérdidas de agua representadas por los procesos de infiltración y evaporación. Con respecto a la infiltración, se tomaron en cuenta la influencia de las coberturas naturales, usos y tipos de suelo, así como la evaporación.

Las microcuencas de las Quebradas Quintana y Cantilote no poseen información hidrometeorológica medida por métodos directos dentro de su extensión, lo cual ha conducido a aplicar métodos de predicción espacial soportados en el uso de información producida por equipos satelitales remotos mediante teledetección, tales como modelos de elevación digital de terreno producidos por los satélites ASTER (Advanced Spaceborne Thermal Emission and Reflection Radiometer, en inglés) (Jet Propulsion Laboratory, 2021) y ALOS-PALSAR, siendo PALSAR uno de los instrumentos correspondientes ALOS (Advanced Land Observing Satellite-1, en inglés) (Alaska Satellite Facility, 2021), ambos en un esfuerzo cooperativo entre los gobiernos de los Estados Unidos de América y Japón. Esta tecnología tiene propósitos de contribuir a los campos de la cartografía, la observación precisa de la cobertura terrestre regional, el seguimiento de desastres y la prospección de recursos. Así mismo se usaron imágenes multiespectrales de tecnología satelital para introducir la dinámica de cambios en las coberturas y usos de la tierra en la zona de estudio, producidas por la tercera generación de la serie de satélites LANDSAT (LANDSAT 8OLI) colocados en el espacio por el gobierno de los Estados Unidos de América desde 1972 hasta el presente. Los datos de LANDSAT 8OLI se han convertido rápidamente en la fuente principal de información utilizada por estos satélites debido a que los datos han ofrecido un rendimiento espacial, espectral, radiométrico y geométrico mejorado sobre los datos de los sensores de la primera y segunda generación de la serie de satélites LANDSAT (Chander et al., 2009). Algunas experiencias han validado la clasificación supervisada de imágenes de satélites de la serie LANDSAT a cuencas de Venezuela, incluyendo los ríos Pao (Farías et al., 2018) y Urama (López et al., 2020).

El balance hídrico se realizó mediante la adaptación de métodos de predicción de variables hidrometeorológicas concentradas en el área hacia métodos de predicción espacio-temporal para obtener información autóctona para las microcuencas sin información. Para la predicción de las variables meteorológicas, precipitación y evaporación, se aplicó un modelo geoestadístico clasificado dentro de los modelos estadísticos lineales (probabilísticos) conocido como Kriging Ordinario (Gelfand et al., 2010). Las experiencias de aplicación de modelos geoestadísticos para la predicción de balance hídrico han conducido a establecer funciones matemáticas que se han aproximado satisfactoriamente a las observaciones de las variables meteorológicas en la cuenca del río Pao, la cual ha incluido como una subcuenca a la correspondiente al río Paíto (Farías et al., 2020).

En cuanto a la estimación de la escorrentía superficial ha sido realizada adaptando el método propuesto por el Servicio de Conservación de suelos de los Estados Unidos (U.S. Soil Conservation Service, en inglés) (Guevara y Cartaya, 2004) y un método propuesto por el Centro de Investigaciones Hidrológicas y Ambientales (CIHAM-UC) (Márquez et al., 2020) en una dimensión espacio-temporal para la estimación del componente de lluvia efectiva dentro de la expresión matemática del balance hídrico considerada en este estudio.

El flujo total se ha estimado combinando el flujo de la escorrentía directa con el flujo subterráneo o base para las microcuencas de las Quebradas Quintana y Cantilote. El flujo base proveniente de la filtración del almacenamiento del agua subterránea ha sido cuantificado mediante el principio de la ley de Darcy (Guevara y Cartaya, 2004). En el acuífero del sector La Guacamaya ha sido estimado un flujo subterráneo hasta de 1.58 m3/s en 90 % del área del acuífero, ocurriendo valores de hasta de 9.73 m3/s para el resto del área del acuífero (Márquez et al., 2019b). Así mismo, el balance hídrico mensual en el acuífero del Municipio San Diego, Estado Carabobo ocupando un área de 117 km2, se ha cuantificado en una lámina promedio mensual extraída variando entre 77 y 110 mm/mes (aproximadamente 12.87 millones m3/mes) (Márquez et al., 2018b).

El estudio ha incluido las secciones de descripción del área de estudio, métodos, resultados, conclusiones y recomendaciones. En la sección del área de estudio se ha presentado el alcance y la referencia espacial de las microcuencas de las quebradas Quintana y Cantilote, Estado Carabobo. En la sección de métodos se ha descrito el esquema del método aplicado y las fases de la investigación. En la sección de resultados se han presentado gráficos que han descrito la variación temporal de los componentes del balance hídrico en el período 1980-2000 y 2015-2018. Así como, se han incluido los mapas de predicción espacial de la precipitación total y efectiva mensual usados para la predicción espacio-temporal de las variables en las microcuencas sin información, presentando como muestra al año 2015. Finalmente, se han presentado las conclusiones y recomendaciones derivadas del análisis de los resultados.


Materiales y métodos

Los materiales y métodos empleados para la elaboración de este estudio están asociados en el esquema mostrado en la Figura 1. El método involucró el procesamiento en tres herramientas computacionales MATLAB®, ArcGIS V-10.0, y ENVI V-4.7. Mediante la aplicación de las herramientas contenidas en estos paquetes computacionales se siguieron las fases descritas a continuación (Figura 1):


Figura 1: Esquema de materiales y métodos empleados para la estimación de la producción hídrica en las microcuencas Quintana y Cantilote, Estado Carabobo.

Fuente: Elaboración propia (2025).


Delimitación y propiedades de las microcuencas de las quebradas Quintana y Cantilote

La delimitación y propiedades de las microcuencas de las quebradas Quintana y Cantilote fue llevada a cabo usando una imagen cartográfica a escala 1:25,000 producida por el Instituto Geográfico de Venezuela Simón Bolívar (IGVSB), se aplicó un procedimiento de referencia espacial en el entorno de trabajo de ArcGIS V. 10.0 para la localización de la zona de estudio y comparar la red hídrica de las quebradas Quintana y Cantilote con la red producida usando modelos de elevación digital de los satélites ASTER (Advanced Spaceborne Thermal Emission and Reflection Radiometer, en inglés) y ALOS-PALSAR.

El modelo de elevación digital (MED) ASTER fue adquirido desde el sitio web EarthExplorer (https://earthexplorer.usgs.gov/>https://earthexplorer.usgs.gov/) del U.S. Geological Survey (USGS). Cuatro escenas fueron adquiridas para cubrir la cuenca del río Pao, cuyos archivos se identifican como ASTGTM2_N09W068 (por ejemplo este código indica, 09 grados de latitud norte y 68 grados de longitud oeste), ASTGTM2_N09W069, ASTGTM2_N010W068, ASTGTM2_N10W069. Las características generales de cada escena ASTER son: tamaño de mosaico (3601 x 3601 (1 x 1)), tamaño de pixel (1 arc-second, aproximadamente 30 m en el ecuador), y sistema de coordenadas geográficas referenciado para referenciado al geoide del Sistema Geodésico Mundial de 1984 (WGS84) / Modelo Gravitacional de la Tierra de 1996 (EGM96) (Land Processes Distributed Active Archive Center (DAAC), 2011).

El modelo de elevación digital (MED) ALOS-PALSAR fue adquirido desde el sitio web Alaska Satellite Facility (https://asf.alaska.edu/). Los modelos digitales de elevación se crean utilizando el procesamiento de SAR (Synthetic Aperture Radar ) interferométrico. Según Japan Aerospace Exploration Agency (2008), el radar de apertura sintética de banda L (PALSAR; 1.270 MHz / 23,5 cm) transportado en ALOS es, en principio, capaz de realizar observaciones con un gran número de combinaciones diferentes de polarización, ángulos fuera del nadir y resolución. Con el fin de garantizar la uniformidad cronológica y espacial, se han seleccionado los siguientes tres modos.

Según Japan Aerospace Exploration Agency (2008), el nivel de procesamiento de las escenas de ALOS-PALSAR 1.5 implica que después de realizar la compresión de azimut de alcance y de múltiples vistas, se realizan correcciones radiométricas y geométricas de acuerdo con la proyección del mapa. Los modos observacionales de ALOS-PALSAR 1.5 abarcan fino (polarización individual y dual), modo de escaneo SAR (Synthetic Aperture Radar, por sus siglas en inglés), modo de enlace descendente directo y el modo de polarimetría. La definición de la escena PALSAR adquirida en modo de escaneo SAR se caracteriza por un espaciamiento de pixel de 12.5 m, tamaño de imagen (rango x azimut) de 250 x 350 km, tamaño de cuadro este-oeste (3500 píxeles), tamaño de cuadro sur-norte (2500 píxeles). Cuatro escenas de ALOS-PALSAR fueron adquiridas para cubrir la cuenca del río Pao, cuyos archivos se identifican como AP_02335_FBS_F0180, AP_02335_FBS_F0190, AP_02758_FBS_F0180, AP_02758_BS_F0190.

En el entorno de ArcGIS V-10.0, las escenas de los satélites ASTER y ALOS-PALSAR fueron proyectadas en el plano al transformar las coordenadas geográficas a coordenadas proyectadas aplicando el método Universal Transverse Mercator (UTM), usando las Zona UTM 19, Datum WGS84 y elipsoide WGS84. Posteriormente se realizó un mosaico consistente de los cuatro MEDs hacia un único raster. Cada raster dentro del mosaico poseía la misma cantidad de bandas y la misma profundidad de bit.

Una vez preparados los MEDs ASTER y ALOS-PALSAR, las microcuencas fueron delimitadas usando la herramienta de cuenca hidrográfica dentro del módulo de hidrología contenido en la caja de herramientas de Análisis Espacial de ArcGIS 10.0. La delimitación de la cuenca requirió como entradas un mapa de dirección de flujo generado a partir de un MDE y un archivo vectorial de puntos conteniendo el punto de la desembocadura de las microcuencas sobre el río Paito, obtenido desde la cartografía 1:25,000. La herramienta de dirección de flujo crea un ráster de dirección de flujo desde cada celda hasta su vecina con la pendiente descendente más empinada. La herramienta dio como resultado mapas raster de las microcuencas de las quebradas Quintana y Cantilote. Los mapas raster de cada microcuenca fueron convertidos desde raster a polígono usando herramientas de conversión dentro del entorno ArcGIS 10.0. Los polígonos de divisoria de las microcuencas de las quebradas Quintana y Cantilote fueron superpuestos encontrando coincidencia total.

En cuanto a las propiedades de la cuenca, la pendiente del terreno expresada en porcentaje fue determinada usando como entrada al MED-ALOS PALSAR para cada microcuenca, usando las herramientas de superficie en ArcGIS 10.0.


Delineación y propiedades de la red hídrica de las quebradas Quintana y Cantilote

La delineación y propiedades de la red hídrica de las quebradas Quintana y Cantilote fue llevada a cabo usando los MED, MED-ASTER y MED-ALOS PALSAR, en conjunto con las herramientas del módulo de hidrología en ArcGIS 10.0 para generar mapas de dirección de flujo, flujo acumulado y corrientes. Las capas de la red hídrica generada a través de cada MED fueron superpuestas encontrando total coincidencia. Adicionalmente se usó la herramienta de clasificación de corrientes para asignar órdenes a la red hídrica.


Modelos para la predicción de la distribución espacio-temporal de variables meteorológicas de las microcuencas de las quebradas Quintana y Cantilote

Los modelos para la predicción de la distribución espacio-temporal de variables meteorológicas de las microcuencas de las quebradas Quintana y Cantilote se aplicaron para la precipitación y evaporación mediante el módulo de análisis geoestaditico en ArcGIS 10.0. Los datos meteorológicos en la escala mensual fueron adquiridos en dos series de tiempo, la serie de tiempo No. 1 corresponde al período 1980-2000 producida por el Ministerio de Ambiente y Recursos Naturales (MARN) y la serie de tiempo No. 2 producida por el Instituto Nacional de Meteorología e Hidrología (INAMEH) en el período 2015-2018. La serie de tiempo No. 1 incluyó valores mensuales de precipitación medida con pluviografo, usando un tipo de medidor que observa y registra la precipitación automáticamente. El registro automático se basó en un medidor de peso con un registrador de datos de gráfico de bandas. La evaporación fue medida con tina de evaporación tipo A (World Meteorological Organization, 2008).

La información correspondiente al período 2015-2018 fue adquirida usando para la precipitación, cubo basculante como colector de lluvia, calibrado de fábrica para medir 0.01 ” (0.2 mm) de lluvia con cada tip (contacto entre el cubo y el sensor) y un sistema de telemetría con transmisores de radio UHF (frecuencia ultra alta) (Meza y Vargas, 2007). La evapotranspiración (ET) es una medida de la cantidad de vapor de agua devuelto al aire en un área determinada. Combina la cantidad de vapor de agua devuelto a través evaporación (de superficies húmedas) con la cantidad de vapor de agua que regresa a través transpiración (exhalación de humedad a través de los estomas de la planta) para llegar a un total (Guevara y Cartaya, 2004). Efectivamente, ET es lo opuesto a la lluvia y se expresa en las mismas unidades de medida (pulgadas, milímetros). Las estaciones del sistema automatizado del INAMEH usan temperatura del aire, humedad relativa, velocidad promedio del viento y datos de radiación solar para estimar la ET, que se calcula una vez cada hora, requiriendo contar con un sensor de radiación solar (Meza y Vargas, 2007).

Las predicciones se basaron en un modelo que combina componentes determinísticos y estocásticos (Márquez et al., 2019a):

Z(s) = μ + ξ′(s)

(1)

Donde la variable objetivo Z está asociada a alguna ubicación, µ es la función estacionaria constante (media global) y ξ’(s) la parte estocástica espacialmente correlacionada de la variación. Las predicciones se hacen como en Metheron, (1963) introduciendo al análisis de datos puntuales, la derivación y el trazado de las llamadas semivarianzas - diferencias entre los valores vecinos:

\( \gamma = \frac{1}{2}E[(Z(S_i) - Z(S_{i+h}))^2] \)

(2)

Donde Z(Si) es el valor de la variable objetivo en alguna ubicación muestreada y Z(Si+h) es el valor del vecino a la distancia Si+h. Las semivarianzas frente a sus distancias producen un variograma experimental estándar. A partir del variograma experimental, se puede ajustar utilizando algunos de los modelos de variogramas autorizados, como lineal, esférico, exponencial, circular, Gaussiano, Bessel, potencia y similares (Goovaerts, 2000).


Validación del método de predicción de Kriging Ordinario para la estimación de las variables meteorológicas de las microcuencas de las quebradas Quintana y Cantilote

La validación del método de predicción de Kriging Ordinario para la estimación de las variables meteorológicas de las microcuencas de las quebradas Quintana y Cantilote se realizó mediante la comparación de las estimaciones en las variables de precipitación y evaporación con las mediciones de la estación meteorológica ubicada en el embalse Pao Cachinche y reportadas en balances hídricos elaborados por la empresa hidrológica HIDROCENTRO, (Márquez et al., 2015).


Estimación de la precipitación efectiva en las microcuencas de las quebradas Quintana y Cantilote

La estimación de la precipitación efectiva en las microcuencas de las quebradas Quintana y Cantilote se realizó mediante la aplicación del método del U.S. Conservation Service (US-SCS) (Guevara y Cartaya, 2004). El método US-SCS comúnmente conocido como el método del número de curva (CN), cuyo objetivo es calcular las abstracciones de agua de una tormenta. En este método la precipitación de excesos (profundidad de escorrentía superficial) es una función de la precipitación total en la cuenca, de un parámetro de abstracción y del número de curva de escorrentía (CN).

En este estudio, para la aplicación del modelo US-SCS se determinaron los componentes adaptados a variables espacialmente distribuidas. La descripción detallada de la estimación de la distribución espacial a través de raster de tres componentes del modelo US-SCS (usos y coberturas terrestres, tipo de suelo y coeficientes de escorrentía). En forma resumida, la información requerida fue estimada como se indica a continuación:

  1. Condiciones iniciales de la cuenca. Las condiciones iniciales de la cuenca dependen de la precipitación antecedente. Una condición de suelo seco implica la ocurrencia de lluvias precedentes en orden de 0-35 mm. La condición de suelo normal se asocia a la ocurrencia de precipitación entre 35-50 mm. Así como, la condición de suelo húmedo está asociada a una lámina de lluvia mayor a 50 mm. Se asumió condición de suelo húmedo, asociada al número de curva (CNIII). Los valores fueron tomados según el uso y tipo de suelo desde Guevara y Cartaya (2004). La precipitación fue estimada.

  2. Clasificación de los suelos según sus características hidrológicas. Los suelos de las microcuencas de las Quebradas Quintana y Cantilote fueron identificados a partir del mapa de clasificación de suelos para Venezuela generado por el IGVSB, encontrando que los mismos se clasifican como del tipo inceptisol, correspondiendo al tipo D (alto potencial de escorrentía).

  3. Condición Hidrológica. El tipo de cobertura vegetal tiene un marcado efecto sobre el proceso de intercepción, evapotranspiración, escurrimiento superficial e infiltración. La condición hidrológica, como indicador de la situación para la infiltración, se usa como índice de la cobertura vegetal. El porcentaje de cobertura vegetal fue extraído de los mapas de clasificación de usos y coberturas encontrando una proporción de cobertura para la microcuenca de la quebrada Quintana variando más frecuentemente entre 60 y 83 %, así como para la quebrada Cantiolote entre 60 y 97 %, siendo clasificada como de regular a buena (Guevara y Cartaya, 2004).

  4. Uso de la tierra. Es otro factor que tiene efecto sobre la respuesta de la cuenca a los fenómenos hidrometeorológicos. Se aplicó método de clasificación supervisada a las imágenes del satélite LANDSAT 8OLI en la escala mensual durante el período 2015-2018. En ambas microcuencas, dos tipos de coberturas son detectados, vegetación y suelo degradado, la cobertura predominante durante 2015 fue la vegetación. Así como dos tipos de usos, agrícola y urbano. El uso agrícola o agropecuario se desarrolla durante la época seca ocupando entre 5 y 10 % de la microcuenca.

  5. Coeficiente de escorrentía. Dependiendo de la clasificación de los suelos, uso de la tierra, tratamiento o práctica y de la condición hidrológica, se determina el Número de Curva. Los valores de CN para las condiciones I y III se encuentran tabulados en la bibliografía o se estiman mediante la ecuaciones (Guevara y Cartaya, 2004). Como una muestra, los mapas de coeficiente de escorrentía pueden ser observados para los meses del año 2015.

En cuencas grandes, parte del agua infiltrada retorna como flujo sub-superficial o subterráneo, pero no son consideradas en el análisis de tormentas puesto que tienen un tiempo de retardo suficientemente largo como para no influenciar el hidrograma de escorrentía directa. De acuerdo con lo anterior, la escorrentía es estimada mediante la Ecuación 3


\( Q = \frac{(P-0.2S)^2}{P+0.8S} \)

(3)


Análisis de frecuencia de ocurrencia de la precipitación efectiva en las microcuencas de las quebradas Quintana y Cantilote

El análisis de la frecuencia de ocurrencia de la precipitación efectiva en las microcuencas de las quebradas Quintana y Cantilote se realizó extrayendo una muestra de datos de los mapas de precipitación efectiva en la escala mensual en el período 2015-2018 para las microcuencas Quintana y Cantilote, mediante la generación de un vector que fue ingresado en una herramienta para generar histogramas y prueba de bondad de ajuste de funciones probabilísticas a las variable de estudio, dentro del módulo de estadística de MATLAB®. Los resultados obtenidos corresponden con histogramas, gráficos de probabilidad de excedencia de la precipitación efectiva y prueba de la máxima verosimilitud como criterio para la selección de la función de distribución probabilística para la precipitación efectiva.


Predicción espacio-temporal del flujo subterráneo en las microcuencas de las quebradas Quintana y Cantilote

La predicción espacio-temporal del flujo subterráneo en las microcuencas de las quebradas Quintana y Cantilote se realizó usando la base de datos del Ministerio del Poder Popular para el Ambiente (MPPA), la cual facilitó la información sobre 255 perfiles estratigráficos de suelo obtenidos desde los registros de pozos de explotación de agua subterránea registrados en el MPPA en el período 1971-2015. La predicción del flujo subterráneo se llevó a cabo usando el módulo de aguas subterráneas de ArcGIS 10.0, el cual realiza la estimación del flujo basado en la Ley de Darcy (Guevara y Cartaya, 2004). La herramienta requiere mapas de niveles estáticos de agua en pozos, porosidad efectiva, espesor saturado, permeabilidad, transmisividad.

Los mapas de niveles de agua referenciados con respecto al nivel del mar. Los mapas de descenso de nivel de agua en los pozos fueron obtenidos aplicando el método de Kriging Ordinario. Posteriormente, se realizó la referencia con respecto al terreno mediante la diferencia con respecto al MED-ALOS PALSAR. Las propiedades de suelo referentes a porosidad efectiva, espesor saturado, permeabilidad y transmisividad fueron configuradas de acuerdo a valores reportados en la bibliografía de mecánica de suelos (Lambe y Whitman, 1990).


Resultados


Caracterización geomorfológica del área de estudio

El área de estudio está constituida por dos microcuencas correspondientes a las corrientes principales representadas por las quebradas Quintana y Cantilote, las cuales son tributarios del río Paíto (Figura 2).


Descripción de las características geomorfológicas de la microcuenca de la Quebrada Quintana

La microcuenca de la quebrada Quintana se encuentra ubicada entre las coordenadas geográficas asociadas a los meridianos cuya longitud varía entre O 68°10’30” y O 68°07’30” y latitud comprendida entre los paralelos N 9° 59’ 00” y N 9° 56’00” (Figura 2). El área de la microcuenca de la quebrada Quintana es de 8.23 km2 (Tabla 1). Las características de las corrientes de la microcuenca de la quebrada Quintana se pueden observar en la Figura 1a, donde se observa que la longitud de la corriente principal de la quebrada Quintana es de 6.98 km, el orden máximo de la red hídrica correspondiente a la corriente principal es de 5, drenada mayormente por 20.75 km de corrientes de orden 1 y una longitud total de corrientes de 39.74 km. Las variaciones de las elevaciones de terreno dentro de la microcuenca de la quebrada Quintana se pueden observar en la Figura 2b, donde se observa que por encima del 20 % del área desde las cabeceras de la microcuenca, ésta posee una variación suave de las elevaciones del terreno indicando que la mayor parte de la microcuenca es una planicie. Este comportamiento es confirmado en el mapa de pendientes de terreno (Figura 2c), donde se observa que la extensión del área cubierta por las pendientes despreciables y suaves es representativa en la mayor parte de la microcuenca tomando como referencia al cauce principal, el cual se encuentra dentro de las pendientes clasificadas como despreciables (< 1 %). Las pendientes de terreno de la microcuenca Quintana menores a 20 % ocurren con una frecuencia mayor entre 80 y 100 %, siendo la pendiente ponderada de 19.22 % (Tabla 1). Así como la pendiente ponderada del cauce principal de 1.23 % (Tabla 1).


Descripción de las características geomorfológicas de la microcuenca de la Quebrada Cantilote

La microcuenca de la quebrada Cantilote se encuentra ubicada entre las coordenadas geográficas asociadas a los meridianos cuya longitud varía entre O 68°08’30” y O 68°07’00” y latitud comprendida entre los paralelos N 9° 57’ 00” y N 9° 58’30” (Figura 2). El área de la microcuenca de la quebrada Cantilote es de 2.09 km2 (Tabla 1). Las variaciones de las elevaciones de terreno dentro de la microcuenca de la quebrada Cantilote se pueden observar en la Figura 2e, donde se observa que por encima del 20 % del área desde las cabeceras de la microcuenca, ésta posee una variación suave de las elevaciones del terreno indicando que la mayor parte de la microcuenca es una planicie. Este comportamiento es confirmado en el mapa de pendientes de terreno (Figura 2f), donde se observa que la extensión del área cubierta por las pendientes despreciables y suaves es representativa en la mayor parte de la microcuenca tomando como referencia al cauce principal, el cual se encuentra dentro de las pendientes clasificadas como despreciables (< 1 %).


Estimación del balance hídrico mensual para las microcuencas de las Quebradas Quintana y Cantilote, Estado Carabobo

El balance hídrico fue estimado para las microcuencas de las Quebradas Quintana y Cantilote para dos series de tiempo. La serie de tiempo No. 1 abracó el período 1980-2000 y la serie de tiempo No. 2 se correspondió con el período 2015-2018.


Estimación del balance hídrico mensual para las microcuencas de las Quebradas Quintana y Cantilote para la serie de tiempo No. 1

Predicción espacial de las variables meteorológicas para la estimación del balance hídrico en las microcuencas de las Quebradas Quintana y Cantilote para la serie de tiempo No. 1

El balance hídrico para la serie de tiempo No. 1 fue estimado haciendo la diferencia entre los mapas raster de precipitación media mensual y evapotranspiración media mensual, ponderada por el área para las microcuencas de las quebradas Quintana y Cantilote. La predicción espacial de las variables meteorológicas fue llevada a cabo mediante la aplicación del método de Kriging Ordinario desde la información registrada por el Ministerio de Ambiente y Recursos Naturales (MARN). Los resultados de la predicción de las variables meteorológicas, precipitación media mensual y evaporación media mensual, se obtuvieron desde 227 estaciones de monitoreo de precipitación y 62 estaciones de monitoreo de evaporación administradas por el MARN para el período 1980-2000.

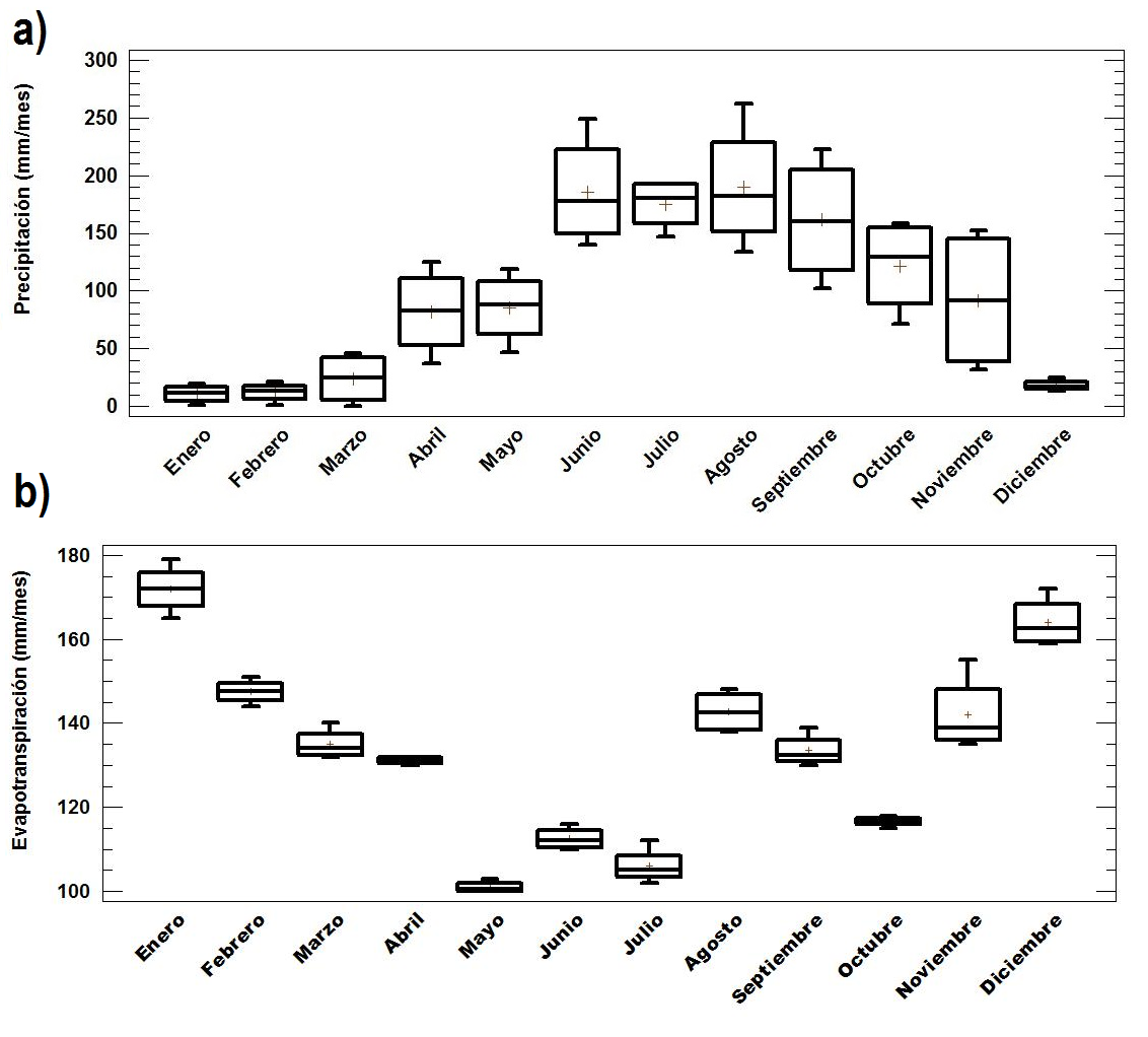
Para ambas microcuencas, en el período seco (enero-marzo), la precipitación mensual se encontró por debajo de 30 mm/mes (Figuras 3a-c,4a-c). En el período lluvioso, la precipitación varió entre 50 y 230 mm/mes (Figuras 4a-5a) para el 25 y 50 % de tiempo (Figura 4). Así mismo, ocurren valores mínimos y máximos durante los meses de época lluviosa, donde la precipitación ocurrió variando entre 30 y 250 mm/mes, como ejemplo, el mes de mayo presenta la mayor aleatoriedad en los valores. La máxima precipitación es observada en los meses desde mayo a agosto, correspondiente a 250 mm/mes. Los diagramas de cajas y bigotes muestran que existe escasa varianza de la precipitación dentro de cualquier mes en la época seca en los valores estimados para 1980-1999 (Figuras 3a-4a), la cual varió entre 5 y 10 mm/mes, ocurriendo en un 25 a 50 % del tiempo, mientras que la varianza se incrementa entre 40 y 50 mm/mes dentro de cualquier mes ubicado en la estación lluviosa para el período 1980-1999 (Figuras 3a-4a). Algunos valores atípicos de la precipitación mensual ocurrieron, asociados con aquellos puntos más allá de 1.5 veces el rango intercuartil (ancho de caja) por arriba o debajo de la caja, indicados por un punto símbolo, que fueron encontrados en los meses secos (enero, febrero, abril, noviembre y diciembre).

En cuanto a la evaporación (E) (Figuras 3b-4), fue encontrado que toma los valores más altos y la mayor varianza (40-60 mm/mes), para la estación seca (enero-abril), variando entre 180 y 260 mm/mes.

Durante el período lluvioso, la E se vuelve más predecible debido a que la varianza disminuye significativamente (10 mm/mes). Además, los valores en el rango intercuartilico donde se ubican entre un 25 y 50 % de los valores, variaron entre 130 y 150 mm/mes (Figura 3), siendo un rango de ocurrencia estable durante el período lluvioso.

Figura 2: Parámetros geomorfológicos de las microcuencas de las quebradas Quintana y Cantilote, Estado Carabobo.

Fuente: Elaboración propia (2025).

Tabla 1: Características geomorfológicas de las microcuencas de las quebradas Quintana y Cantilote, Estado Carabobo.

ParámetrosMicrocuenca quebrada QuintanaMicrocuenca quebrada Cantilote
Área (km2)8,232.09
Perímetro (km)14.937.39
Pendiente promedio de la cuenca (%)19.2218.76

Figura 3: Diagramas de cajas y bigotes de la precipitación media mensual (a) y la evaporación media mensual (b) estimada mediante el método de Kriging Ordinario aplicados sobre la base de datos del MARN para serie de tiempo No. 1 (1980-2000) en la microcuenca de la Quebrada Quintana.

Fuente: Elaboración propia (2025).

Figura 4: Diagramas de cajas y bigotes de la precipitación media mensual (a) y la evaporación media mensual (b) estimada mediante el método de Kriging Ordinario aplicados sobre la base de datos del MARN para serie de tiempo No. 1 (1980-2000) en la microcuenca de la Quebrada Cantilote.

Fuente: Elaboración propia (2025).


Validación de la predicción de la precipitación mensual para la serie de tiempo N° 1

En la Figura 5 se muestra una comparación de la precipitación mensual estimada mediante el método de Kriging Ordinario derivada de las estaciones del MARN para las microcuencas de las Quebradas Quintana y Cantilote en el periodo 1980-2000 con la precipitación mensual observada en una estación meteorológica por HIDROCENTRO en el embalse Pao Cachinche, Estado Carabobo para el período 1980-2000 (Márquez et al., 2015), donde se observa que existe en alta proporción una superposición de las observaciones con las estimaciones. En la Figura 14 se muestra una relación lineal univariada entre las estimaciones y observaciones de la precipitación mensual mediante un gradiente de 0.86, el cual se encuentra muy aproximado a una relación 1:1. Así mismo, el coeficiente de determinación entre las observaciones y estimaciones resultó de 0.95, lo que comprueba una correlación de alta a muy alta.

Figura 5: Comparación de la precipitación mensual estimada mediante el método de Kriging Ordinario derivada de las estaciones del MARN para las microcuencas de las quebradas Quintana y Cantilote en el periodo 1980-2000 con la precipitación mensual observada en una estación meteorológica por HIDROCENTRO en el embalse Pao Cachinche, Estado Carabobo para el período 1983-2000.

Fuente: Elaboración propia (2025).

Figura 6: Relación lineal entre la precipitación mensual estimada mediante el método de Kriging Ordinario derivada de las estaciones del MARN para las microcuenca de la quebradas Quintana y Cantilote en el periodo 1980-2000 y la precipitación mensual observada en una estación meteorológica monitoreada por HIDROCENTRO en el embalse Pao Cachinche, Estado Carabobo para el período 1983-2000.

Fuente: Elaboración propia (2025).


Validación de la predicción de la evaporación mensual para la serie de tiempo No.1

En la Figura 7 se muestra una comparación de la evaporación mensual estimada mediante el método de Kriging Ordinario derivada de las estaciones del MARN para las microcuencas de las Quebradas Quintana y Cantilote en el periodo 1980-2000 con la evaporación mensual observada en una estación meteorológica por HIDROCENTRO en el embalse Pao Cachinche, Estado Carabobo para el período 1980-2000 (Márquez et al., 2015), donde se observa que existe en alta proporción una superposición de las observaciones con las estimaciones. En la Figura 8 se muestra una relación lineal univariada entre las estimaciones y observaciones de la evaporación mensual mediante un gradiente de 1.15, el cual se encuentra muy aproximado a una relación 1:1. Así mismo, el coeficiente de determinación entre las observaciones y estimaciones resultó de 0.98, lo que comprueba una correlación de alta a muy alta.

Figura 7: Comparación de la evaporación mensual estimada mediante el método de Kriging Ordinario derivada de las estaciones del MARN en el periodo 1980-2000 con la evaporación mensual observada por HIDROCENTRO en el embalse Pao Cachinche, Estado Carabobo. Para el período 1983-2000.

Fuente: Elaboración propia (2025).


Estimación del balance hídrico mensual en la serie de tiempo No. 1(1980-2000)

La estimación del balance hídrico mensual (BHM) en la serie de tiempo No.1 (1980-2000) obtenida mediante la aplicación del método Kriging sobre 227 estaciones de monitoreo de precipitación y 62 estaciones de monitoreo de evaporación del MARN para las microcuencas de las quebradas Quintana y Cantilote, Estado Carabobo se presenta en la Figura 9, donde se observa alternabilidad de los valores negativos del BHM durante la estación seca y valores positivos del BHM durante la estación lluviosa de cada año en el período 1980-2000, alcanzando un máximo de 1,234,500 m3/mes en la serie de tiempo No.1 para la microcuenca de la Quebrada Quintana y 313,500 m3/mes en la serie de tiempo No.1 para la microcuenca de la Quebrada Cantilote.


Figura 8: Relación lineal entre la evaporación mensual estimada mediante el método de Kriging Ordinario derivada de las estaciones del MARN para las microcuenca de la quebradas Quintana y Cantilote en el periodo 1980-2000 y la evaporación mensual observada en una estación meteorológica monitoreada por HIDROCENTRO en el embalse Pao Cachinche, Estado Carabobo para el período 1983-2000.

Fuente: Elaboración propia (2025).

Figura 9: Balance hídrico (P-E) en la serie de tiempo N°1 (1980-2000) obtenida mediante la aplicación del método Kriging sobre 227 estaciones de monitoreo de precipitación y 62 estaciones de monitoreo de evaporación del MARN para las microcuencas de las microcuencas de las quebradas Quintana (MQ) y Cantilote (MC), Estado Carabobo.

Fuente: Elaboración propia (2025).

Análisis de frecuencia de ocurrencia del balance hídrico mensual en las microcuencas de las Quebradas Quintana y Cantilote para la serie de tiempo N° 1(1980-2000)

En las Figura 10a-10b se observa las probabilidad de excedencia del volumen excedente positivo en la serie de tiempo No.1 (1980-2000) obtenida mediante balance hídrico (P-E) y la aplicación del método Kriging sobre 227 estaciones de monitoreo de precipitación y 62 estaciones de monitoreo de evaporación del MARN para las microcuencas de la Quebrada Quintana (MQ) (Figura 10a) y Quebrada Cantilote (MC) (Figura 10b), donde se observa que los volúmenes mensuales asociados a una probabilidad de excedencia del 80 % son de 120,000 m3/mes y de 30,000 m3/mes para las microcuencas de las Quebradas Quintana (Figura 20a) y Cantilote (Figura 10b).

Figura 10: Probabilidad de excedencia del volumen excedente en la serie de tiempo N°1 (1980-2000) obtenida mediante balance hídrico (P-E) y la aplicación del método Kriging sobre 227 estaciones de monitoreo de precipitación y 84 estaciones de monitoreo de evaporación del MARN para las microcuencas: a) Quebrada Quintana (MQ) y b) Quebrada Cantilote (MC), Estado Carabobo.

Fuente: Elaboración propia (2025).

Estimación del balance hídrico para las microcuencas de las Quebradas Quintana y Cantilote para la serie de tiempo No. 2
Predicción espacial de las variables meteorológicas en el período 2015-2018

El balance hídrico para la serie de tiempo No. 2 fue estimado haciendo la diferencia entre los mapas raster de la precipitación media mensual (Figuras 11-12) y evapotranspiración media mensual (Figuras 13-14), ponderada por el área para las microcuencas de las quebradas Quintana y Cantilote. La predicción espacial de las variables meteorológicas fue llevada a cabo mediante la aplicación del método de Kriging Ordinario desde la información registrada por el Instituto de Hidrología y Meteorología (INAMEH). Los resultados de la predicción de las variables meteorológicas, precipitación media mensual y evapotranspiración media mensual, se obtuvieron desde 28 estaciones de monitoreo de precipitación y 15 estaciones de monitoreo de evapotranspiración administradas por el INAMEH para el período 2015-2018. En las Figuras 11-14 se observa que las variables meteorológicas se distribuyen en forma uniformemente distribuida en la totalidad del área. La diferencia de la precipitación registrada en el período lluvioso (Figuras 11e-h), fue de 6 veces con respecto a la precipitación en el período seco (Figuras 11a-d). En correspondencia, la evapotranspiración tiende a ser mayor cerca de 1.8 veces en la época seca (Figuras 14a-d), comparada con la época lluviosa (Figuras 14e-h).

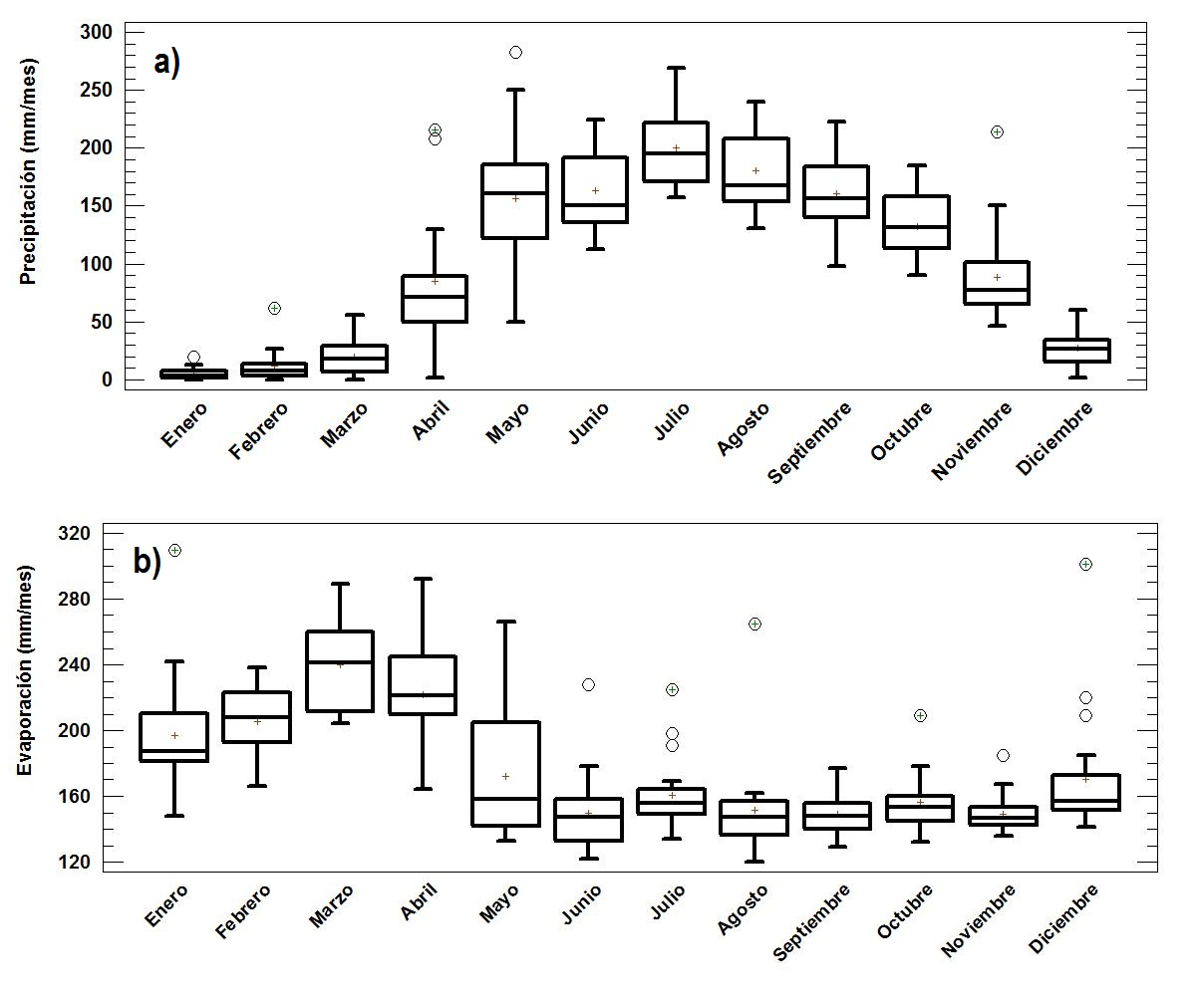
Para ambas microcuencas, en el período seco (enero-marzo), la precipitación mensual varió entre 5 y 15 mm/mes (< 30 mm/mes) (Figuras 11a-c, 12a-c). En el período lluvioso, la precipitación varió entre 30 y 270 mm/mes (Figuras 11d-11k, 12d-12k) para el 25 y 50 % de los datos (Figura 14a). Los diagramas de cajas y bigotes muestran que existe escasa varianza de la precipitación dentro de cualquier mes en la época seca en los valores estimados para 2015-2018 (Figuras 11a-c, 12a-c), la cual tuvo una variación aproximada de 10 mm/mes, ocurriendo en un 25 a 50 % del tiempo, mientras que la varianza se incrementa entre 40 y 50 mm/mes dentro de cualquier mes ubicado en la estación lluviosa para el período 2015-2018 (Figuras 15). En la muestra de datos entre 2015 y 2018, los valores máximos y mínimos están más cercanos a al rango intercuartil (ancho de la caja). Así como también se observa que no existen valores extremos (valores con más de 1.5 desviaciones estándar con respecto al rango intercuartil) o atípicos (valores con más de 3 desviaciones estándar del rango intercuartil).

En cuanto a la evapotranspiración (ET) (Figuras 13a-c, 14a-c, 15b), fue encontrado que toma los valores más altos y la mayor varianza (100-180 mm/mes) para la estación seca (enero-abril), variando entre 100 y 120 mm/mes durante la estación lluviosa (Figura 13 d-h, 14d-h, 15b).

Durante el período lluvioso, la ET tiende a ser estable durante los meses donde ocurre la máxima precipitación (junio-septiembre) variando entre 100 y 120 mm/mes (Figura 15 b), cuyos valores son los más bajos en durante cada año. El rango intercuantil es pequeño, variando entre 10 y 20 mm/mes.


Figura 11: Precipitación (P) estimada mediante el método de Kriging Ordinario configurando un tamaño de pixel de 500 m, para los meses de 2015 a partir de los registros de 28 estaciones del INAMEH, para las microcuencas de las quebradas Quintana y Cantilote Estado Carabobo.

Fuente: Elaboración propia (2025).

Figura 12: Precipitación estimada mediante el método de Kriging Ordinario configurando un tamaño de pixel de 500 m, para los meses de 2015 a partir de los registros de 28 estaciones del INAMEH, para las microcuencas de las quebradas Quintana y Cantilote, Estado Carabobo.

Fuente: Elaboración propia (2025).

Figura 13: Evapotranspiración (ET) estimada mediante el método de Kriging Ordinario configurando un tamaño de pixel de 500 m, para los meses de 2015 a partir de los registros de 15 estaciones del INAMEH, para las microcuencas de las quebradas Quintana y Cantilote Estado Carabobo.

Fuente: Elaboración propia (2025).

Figura 14: Evapotranspiración (ET) estimada mediante el método de Kriging Ordinario configurando un tamaño de pixel de 500 m, para los meses de 2015 a partir de los registros de 15 estaciones del INAMEH, para las microcuencas de las quebradas Quintana y Cantilote, Estado Carabobo.

Fuente: Elaboración propia (2025).

Figura 15: Diagramas de cajas y bigotes de la precipitación media mensual (a) y la evapotranspiración media mensual (b) estimada mediante el método de Kriging Ordinario aplicados sobre la base de datos del INAMEH para serie de tiempo No. 2 (2015-2018) en las microcuencas de las Quebradas Quintana y Cantilote.

Fuente: Elaboración propia (2025).


Validación de la predicción de la precipitación mensual para la serie de tiempo No. 2

En la Figura 16 se muestra una comparación de la precipitación mensual estimada mediante el método de Kriging Ordinario derivada de las estaciones del INAMEH para las microcuencas de las Quebradas Quintana y Cantilote en el periodo 2015-2018 con la precipitación mensual observada en una estación meteorológica por HIDROCENTRO en el embalse Pao Cachinche, Estado Carabobo para el período 2015-2018 (Márquez y Padrón, 2011), donde se observa que existe en alta proporción una superposición de las observaciones con las estimaciones tanto en la estación seca como en la lluviosa. El comportamiento es similar a lo largo del período de medición, por lo tanto el método de Kriging Ordinario logra estimar en una aproximación satisfactoria al componente determinístico (valor medio mensual) y estocástico a través de una función J-Bessel (Márquez et al., 2018a). La precipitación se incrementa desde menos de 50 mm/mes durante los meses secos (enero–marzo) hasta 250 mm/mes durante los meses de junio a agosto 2015-2016.

Figura 16: Comparación de la precipitación mensual estimada mediante el método de Kriging Ordinario derivada de las estaciones del INAMEH con la evaporación mensual observada por HIDROCENTRO en el embalse Pao Cachinche, Estado Carabobo en el periodo 2015-2016.

Fuente: Elaboración propia (2025).


En la Figura 17 se muestra una relación lineal univariada entre las estimaciones y observaciones de la precipitación mensual representadas en la Figura 15 mediante un gradiente de 0.92, el cual se encuentra muy aproximado a una relación 1:1. Así mismo, el coeficiente de determinación entre las observaciones y estimaciones resultó de 0.96, lo que comprueba una correlación de alta a muy alta.


Validación de la predicción de la evaporación mensual para la serie de tiempo No. 2

En la Figura 18 se muestra una comparación de la evaporación mensual estimada mediante el método de Kriging Ordinario derivada de 15 estaciones del INAMEH para las microcuencas de las Quebradas Quintana y Cantilote en el periodo 2015-2018 con la evaporación mensual observada en una estación meteorológica por HIDROCENTRO en el embalse Pao Cachinche, Estado Carabobo para el período 2015-2016 (Márquez et al., 2015), donde se observa que los valores de la evaporación (E) medida en el embalse Pao Cachinche son más altos en el orden de 1.4-1.5 con respecto a la evatpotranspiración (ET) durante la temporada seca, lo que se debe posiblemente a una incrementada potencialidad de la ocurrencia de una mayor masa de agua evaporada desde el embalse Pao Cachinche con respecto a la medición realizada de ET en aeropuertos de zonas urbanas. En la temporada lluviosa, se encontró que la E y ET se aproximan significativamente, lo que se debe a la influencia del incremento en las intensidades, duración y frecuencias de la ocurrencia de lluvias en esta estación anual.

Figura 17: Relación lineal entre la precipitación mensual estimada mediante el método de Kriging Ordinario derivada de las estaciones del INAMEH para las microcuencas de la quebradas Quintana y Cantilote en el periodo 2015-2018 y la precipitación mensual observada en una estación meteorológica monitoreada por HIDROCENTRO en el embalse Pao Cachinche, Estado Carabobo para el período 2015-2016.

Fuente: Elaboración propia (2025).


En la Figura 19 se muestra una comparación de la evapotranspiración mensual estimada mediante el método de Kriging Ordinario derivada de las estaciones del INAMEH para las microcuencas de la quebradas Quintana y Cantilote en el periodo 2015-2018 y la evapotranspiración mensual estimada mediante el método de Kriging Ordinario derivada de las estaciones del INAMEH para la cuenca del río San Diego, Estado Carabobo según Márquez et al. (2018b) para el período 2015-2017, donde se observa que existe una alta aproximación entre los valores en las estaciones seca y lluviosa anual, confirmando una tendencia a la homogeneidad espacial en la medición de sensores automatizados (radiación solar, temperatura y viento) en un área de ubicación de las estaciones entre los Estados Carabobo, Aragua, Guárico, Distrito Capital y Miranda.

En la Figura 20 se muestra una relación lineal univariada entre las estimaciones y observaciones de la evapotranspiración mensual mediante un gradiente de 1.01, el cual se encuentra muy aproximado a una relación 1:1. Así mismo, el coeficiente de determinación entre las observaciones y estimaciones resultó de 0.95, lo que comprueba una correlación de alta a muy alta.


Figura 18: Comparación de la evapotranspiración mensual estimada mediante el método de Kriging Ordinario derivada de 15 estaciones del INAMEH con la evaporación mensual observada por HIDROCENTRO en el embalse Pao Cachinche, Estado Carabobo en el periodo 2015-2016.

Fuente: Elaboración propia (2025).


Figura 19: Comparación de la evapotranspiración mensual estimada mediante el método de Kriging Ordinario derivada de las estaciones del INAMEH para las microcuencas de la quebradas Quintana y Cantilote en el periodo 2015-2018 y la evapotranspiración mensual estimada mediante el método de Kriging Ordinario derivada de las estaciones del INAMEH para la cuenca del río San Diego, Estado Carabobo según Márquez et al. (2018b) para el período 2015-2017.



Figura 20: Relación lineal entre la evapotranspiración mensual estimada mediante el método de Kriging Ordinario derivada de las estaciones del INAMEH para las microcuencas de la quebradas Quintana y Cantilote en el periodo 2015-2018 y la evapotranspiración mensual estimada mediante el método de Kriging Ordinario derivada de las estaciones del INAMEH para la cuenca del río San Diego, Estado Carabobo según Márquez et al. (2018b) para el período 2015-2017.


Estimación del balance hídrico mensual en la serie de tiempo N° 2 (2015-2018)

La representación de las series de tiempo de precipitación (P), evapotranspiración (ET), precipitación efectiva (PE) en la microcuencas de la Quebradas Quintana y PE en la microcuenca de la Quebrada Cantilote en el periodo 2015-2018 se muestra en la Figura 21, donde se observa:

  1. La precipitación efectiva correspondiente a las microcuencas de las Quebradas Quintana y Cantilote es obtenida como la media ponderada de la predicción espacial obtenida desde la adaptación a dos dimensiones del método del US-SCS. Los componentes estuvieron integrados por mapas de usos y coberturas terrestres, tipo de suelo, coeficientes de escorrentía y precipitación efectiva durante 2015-2018. La microcuenca de la Quebrada Quintana presenta uso agropecuario entre 5 y 10 %, y coberturas basadas en vegetación (75-80 %) y suelo degradado (20-25 %). En cuanto a la microcuenca de la Quebrada Cantilote estuvo caracterizada por presentar únicamente coberturas de tipos vegetal (75-85 %) y suelo degradado (20-25 %). Para ambas microcuencas, el suelo fue encontrado dentro de la clase inceptisol. A partir de los mapas de usos y coberturas así como la clasificación de suelos, tres coeficientes de escorrentías fueron asignados de acuerdo con la delimitación de los mapas de usos y coberturas terrestres, asociados tierras agrícolas sin tratamiento, pradera o pastizal de condición mala, y bosques ralos o de cobertura pobre. Sobre esta base la precipitación efectiva resultó en comportamiento similar a la precipitación total y por debajo de ésta.

  2. La precipitación y la precipitación efectiva se encontraron en una relación cercana variando en el orden desde 0.52 hasta 0.87 en la estación lluviosa.

  3. La precipitación efectiva de las microcuenca de la Quebrada Quintana fue similar a los valores estimados para la Quebrada Cantilote, siendo esta última ligeramente superior en algunos períodos.

  4. Tanto la precipitación como la precipitación efectiva resultaron superiores a la evaporación en la estación lluviosa de cada año, lo que da soporte a la producción hídrica mensual de cada microcuenca.

Figura 21: Relación lineal entre la evapotranspiración mensual estimada mediante el método de Kriging Ordinario derivada de las estaciones del INAMEH para las microcuencas de la quebradas Quintana y Cantilote en el periodo 2015-2018 y la evapotranspiración mensual estimada mediante el método de Kriging Ordinario derivada de las estaciones del INAMEH para la cuenca del río San Diego, Estado Carabobo según Márquez et al. (2018b) para el período 2015-2017.


La estimación del balance hídrico mensual (BHM) en la serie de tiempo No. 2 (2015-2018) obtenida mediante la aplicación del método Kriging sobre 28 estaciones de monitoreo de precipitación y 15 estaciones de monitoreo de evapotranspiración del INAMEH para las microcuencas de las quebradas Quintana y Cantilote, Estado Carabobo se presenta en la Figura 22, donde se observa alternabilidad de los valores negativos del BHM durante la estación seca y valores positivos del BHM durante la estación lluviosa de cada año en el período 2015-2018, alcanzando un máximo de 1,135,740 m3/mes en la serie de tiempo No. 2 para la microcuenca de la Quebrada Quintana y 288,420 m3/mes en la serie de tiempo No. 2 para la microcuenca de la Quebrada Cantilote.

Figura 22: Balance hídrico (P-ET) en la serie de tiempo No. 1 (2015-2018) obtenida mediante la aplicación del método Kriging sobre 28 estaciones de monitoreo de precipitación y 15 estaciones de monitoreo de evaporación del INAMEH para las microcuencas de las quebradas Quintana (MQ) y Cantilote (MC), Estado Carabobo.


Análisis de frecuencia de ocurrencia del balance hídrico mensual en las microcuencas de las Quebradas Quintana y Cantilote para la serie de tiempo N° 2 (2015-2018).

sitivo en la serie de tiempo No. 2 (2015-2018) obtenida mediante balance hídrico (P-ET) y la aplicación del método Kriging sobre 28 estaciones de monitoreo de precipitación y 15 estaciones de monitoreo de evaporación del INAMEH para las microcuencas de la Quebrada Quintana (MQ) (Figura 22a) y Quebrada Cantilote (MC) (Figura 23b), donde se observa que los volúmenes mensuales asociados a una probabilidad de excedencia del 80 % son de 100,000 m3/mes y de 25,000 m3/mes para las microcuencas de las Quebradas Quintana (Figura 23a) y Cantilote (Figura 23b).


Estimación de la producción hídrica de las microcuencas de las Quebradas Quintana y Cantilote

La producción hídrica fue estimada combinando los resultados del componente superficial con el subterráneo. El componente del volumen escurrido superficialmente fue obtenido desde el balance hídrico mensual (PE-ET), mostrado en las Figuras 22 y 23. El componente de escorrentía subterránea fue estimado usando la ecuación asociada a la Ley de Darcy (Guevara y Cartaya, 2004), implementada a través del módulo de flujo subterráneo en la herramienta computacional ArcGIS 10.0. La herramienta en el entono de trabajo de ArcGIS 10.0 requiere ingresar mapas de nivel estático de aguas, y propiedades físicas, tales como porosidad efectiva, espesor saturado, permeabilidad y transmisividad, del acuífero obtenidas a partir de perfiles litológicos.


Figura 23: Probabilidad de excedencia del volumen excedente mensual (m3/mes) en la serie de tiempo N°2 (2015-2018) obtenida mediante balance hídrico (PE-ET) y la aplicación del método Kriging sobre 28 estaciones de monitoreo de precipitación y 15 estaciones de monitoreo de evaporación del INAMEH para las microcuencas: a) Quebrada Quintana (MQ) y b) Quebrada Cantilote (MC), Estado Carabobo.


El nivel estático del agua subterránea en la microcuenca de la Quebrada Quintana fue más alto en la zona superior de la microcuenca (476.72 msnm) y disminuyó hacia la desembocadura (454.35 msnm). El nivel estático fue estimado a través de la diferencia entre el nivel del terreno, extraído del modelo de elevación digital ALOS-PALSAR y el descenso de agua en el pozo.

Como una muestra, se presenta el perfil litológico de un pozo de agua subterránea registrado ante el MARN con el código No. CA6061001A, descrito en la Tabla 2. Adicionalmente, en el año 2012, el INAMEH en conjunto con el CIHAM-UC realizaron un estudio de prospección geoeléctrica en la comunidad Palmar de Paya, Estado Carabobo, cercana a las microcuencas Quintana y Cantilote, encontrando el primer estrato hasta 8 m por debajo del terreno, constituido por gneis, cuarzo micáceos feldespáticos meteorizados. Así como en un segundo estrato entre 9.5 y 17 m, capas de esquistos y filitas cuarzo micáceos feldespáticos meteorizados fracturados. Y finalmente, un tercer estrato entre 18 y 26 m constituido por Gneis horblendico cuarzo micáceos feldespáticos meteorizados.

Según este perfil litológico, la acumulación y almacenamiento de agua se produce a través de los sedimentos y por los distintos planos de fracturamiento, fallas y foliación, producto de la dinámica de la tectónica regional que permite la porosidad secundaria para la acumulación de las aguas subterráneas.


Tabla 2: Perfil litológico del pozo MARN, No. CA6061001A cercano a las microcuencas de las Quebradas Quintana y Cantilote, Estado Carabobo.

CódigoLatitudLongitudDesde (m)Hasta (m)Estratos
CA6061001A 9°58’45” 68°09’45” 0 1 Capa vegetal
1 4 Arcilla
4 22 Roca foliada
22 42 Grava
42 45 Roca

La porosidad efectiva para la roca foliada varía en el orden de 10 a 30 % (Lachassagne et al., 2011) (Figuras 24b y 25b). Los valores de la porosidad efectiva reportados en los mapas de la Figura 24 son el resultado de la predicción espacial usando el método de Kriging Ordinario aplicado sobre una base de datos del MARN de 235 pozos de agua subterránea para el Estado Carabobo (Márquez y Carrillo, 2015).

La permeabilidad de la roca foliada es del orden de 0.3–2.5 m/día (Maréchal et al., 2004).

El tipo de acuífero es confinado. Según Bear y Cheng (2010), un acuífero confinado es aquel que está delimitado desde arriba y desde abajo por formaciones impermeables. En el caso particular del pozo N° CA6061001A, el confinamiento del acuífero es debido a que existe un estrato en el extremo superior próximo a la superficie del terreno de 3 m de arcilla y un estrato en el extremo inferior del pozo, entre 42 y 45 m por debajo de la superficie del terreno constituido por roca. Según Guevara y Cartaya (2004), en un acuífero confinado, el coeficiente de transmisibilidad (T) viene a ser el producto de la permeabilidad (K) y el espesor del acuífero (m) y posee las dimensiones de m3/d/m.

El espesor saturado fue determinado a partir de información extraída desde 235 pozos de agua subterránea del MARN y la predicción espacial usando el método de Kriging Ordinario fue aplicada para obtener el mapa de espesor saturado para el Estado Carabobo. A partir de los mapas de permeabilidad y de espesor saturado del acuífero se obtuvo T en las microcuencas de las Quebradas Quintana y Cantilote mostrado en las Figuras 24e y 25e siendo de 11 m2/d, así como el flujo subterráneo para las microcuencas resultó de 34 m3/d (1000 m3/mes) (Qda Quintana) y 11 m3/d (500 m3/mes) (Qda Cantilote).


Análisis de frecuencia de ocurrencia del balance hídrico mensual en las microcuencas de las Quebradas Quintana y Cantilote para la serie de tiempo No. 2 (2015-2018).

El análisis de frecuencia de la ocurrencia del balance hídrico mensual incluyendo los flujos superficial y subterráneo en las microcuencas de las Quebradas Quintana y Cantilote para la serie de tiempo No. 2 (2015-2018) se muestra en la Figuras 26a-26b, donde se observa que existe un ajuste gráfico satisfactorio de la función de los volúmenes mensuales positivos derivados de la superposición del balance hídrico mensual (PE-ET) y el flujo subterráneo mensual mostrado en las Figuras 24 y 25 a la función de distribución probabilística Weibull al compararla con las funciones de distribución Normal y Exponencial.

En las Figuras 24a-24b se observa las probabilidad de excedencia del volumen total en la serie de tiempo No. 2 (2015-2018) producido para las microcuencas de la Quebrada Quintana (MQ) (Figura 38a) y Quebrada Cantilote (MC) (Figura 25b), los cuales son 100 veces más pequeños que los valores de escorrentía directa (ED) mensual, dan como resultado un flujo predominantemente definido por la escorrentía directa o superficial en lugar de la escorrentía subterránea.


Figura 24: Distribución espacial de las variables para estimar el flujo subterráneo mediante la Ecuación de Darcy en la microcuenca de la Quebrada Quintana.


Figura 25: Distribución espacial de las variables para estimar el flujo subterráneo mediante la Ecuación de Darcy en la microcuenca de la Quebrada Cantilote.


Figura 26: Probabilidad de excedencia del volumen total mensual (m3/mes) en la serie de tiempo N°2 (2015-2018) obtenida mediante la superposición de la escorrentía directa y la escorrentía subterránea, así como la aplicación del método Kriging a) Quebrada Quintana (MQ) y b) Quebrada Cantilote (MC), Estado Carabobo.


Conclusiones

  1. Las características geomorfológicas y de la red hídrica de las microcuenccas de las Quebradas Quintana y Cantilote fueron obtenidas a partir del procesamiento de un modelo de elevación digital de terreno con alta resolución espacial como uno de los productos del satélite ALOS PALSAR. Con respecto a la red hídrica, las microcuencas de las Quebradas Quintana y Cantilote dieron órdenes de corrientes medios a altos representando un drenaje predominante de aguas superficiales e influenciadas por un tipo de suelo con tendencia a ser impermeable. La mayor proporción del área de las microcuencas se encontró entre pendientes medias a bajas y en menos proporción pendientes pronunciadas, las cuales fueron encontradas hacia la divisoria de la cuenca. Las curvas hipsométricas de ambas microcuencas mostraron que cerca de un 80 % del área de la cuenca está experimentando cambios graduales de elevación del terreno, presentando forma cóncava que sugiere la ocurrencia de procesos antecedentes de erosión y transporte de sedimentos desde las zonas altas hacia las zonas bajas de las microcuencas. En ambas microcuencas, con una frecuencia mayor al 50 % se obtuvieron pendientes de terreno inferiores a 20 %, evidenciando la tendencia hacia la formación de planicies. Los cambios bruscos de pendientes de terreno pronunciadas a medias que ocurren entre la cuenca alta y media pueden ocasionar cambios de régimen supercrítico a subcritico ocasionando remansos o potenciales inundaciones en la transición, dando lugar a potenciales eventos altamente erosivos de terreno y acumulación de sedimentos en la planicie.

  2. El método de Kriging ordinario fue validado al comparar las predicciones espaciales de la precipitación y la evaporación para la serie de tiempo N°1 (1980-1999) con observaciones en el embalse Pao Cachinche recolectadas a través de una estación meteorológica controlada por la compañía Hidrológica del Centro (HIDROCENTRO) obteniendo un gradiente aproximado a la unidad en una relación lineal simple cuyo coeficiente de determinación dio alto a muy alto. En la primera serie de tiempo, los resultados dieron una autocorrelacion de media a alta de 0.6 para un coeficiente de rezago entre 12 y 24 meses.

    Así mismo, en la segunda serie de tiempo de datos que abarcó el período 2015-2018, el método Kriging Ordinario resultó estimar valores de precipitación y evapotranspiración en una alta aproximación a las observaciones en el embalse Pao Cachinche y las de otras estaciones del INAMEH en cuencas vecinas. En el caso específico de la evapotranspiración reportada por las estaciones INAMEH y la evaporación medida con tina en el embalse Pao Cachinche, la evaporación resultó mayor a la ET debido a la influencia de los flujos masa de vapor de agua emitidos desde el embalse Pao Cachinche al comparar con las mediciones en estaciones ubicadas en aeropuertos urbanos a partir de la cual se generó la base de datos INAMEH.

  3. Tanto en la serie de tiempo N°1 como en la N°2, la precipitación, evaporación y evapotranspiración reprodujeron la tendencia-ciclo anual. La precipitación se mantuvo baja en las épocas secas (< 30 mm/mes) y se incrementó en aproximadamente 5 a 6 veces del regular en la época seca ocurrido durante la estación lluviosa. La diferencia entre la evapotranspiración en época seca es de alrededor dos veces la ocurrida en época lluviosa.

  4. A partir del procesamiento y análisis de 59 imágenes del satélite Landsat 8OLI en el periodo 2015-2018, fue posible estimar los usos y coberturas terrestres de las microcuencas de las Quebradas Quintana y Cantilote, encontrando en la primera una media mensual alrededor de 5-10 % para el uso agropecuario, 75-80 % para la cobertura vegetal y 20-25 % para el suelo degradado. Así mismo, para la microcuenca dela Quebrada Cantilote se encontró una proporción de cobertura vegetal de 75-80 % y suelo degradado de 20-25 %. El suelo de las microcuencas es inceptisol y la combinación de usos y coberturas, asi como tipo de suelo arrojaron coeficientes de escorrentía entre 80 y 90, cercanos a 100, considerando tierras cultivadas sin tratamiento, praderas y pastizales de condición mala y bosque ralos o de cobertura pobre, lo que produjo niveles de escorrentía variando entre 50 y 85 % de la precipitación total para el época lluviosa.

  5. La producción hídrica mensual estimada a través de una balance hídrico mensual superficial dio similar tanto en la serie de tiempo N° 1 para una diferencia (P-E) como en la serie de tiempo N°2 para una diferencia (PE-ET), la reducción por efecto de considerar las péridas por infiltración dio como resultado una relación PE/P variando entre 0.50 y 0.85 para la época lluviosa resultando un flujo superficial que varió entre 100,000 y 120,000 m3/mes para la microcuenca de la quebrada Quintana y 25,000 a 30,000 m3/mes, ambos para una probabilidad de excedencia del 80 %. Al considerar el incluir el componente de aporte de flujo subterráneo, el cual es hasta 100 veces menor al flujo superficial, el volumen aportado total es definido por el flujo superficial


Referencias

Alaska Satellite Facility. (2021). ALOS PALSAR. ALOS PALSAR. https://asf.alaska.edu/data-sets/sar-data-sets/alos-palsar/alos-palsar-about/

Bear, J., y Cheng, A. (2010). Modeling groundwater flow and contaminant transport (Vol. 23). Springer Science y Business Media.

Chander, G., Markham, B., y Helder, D. (2009). Summary of current radiometric calibration coefficients for Landsat MSS, TM, ETM+, and EO-1 ALI sensors. Remote Sensing of Environment, 113 (5), 893-903. https://doi.org/10.1016/j.rse.2009.01.007

Farías, B., Márquez, A., Guevara, E., y Rey, D. (2018). Characterization spatio–temporal land use in watershed using geomatic techniques. Revista Ingeniería UC, 25 (1), 19-30. http://servicio.bc.uc.edu.ve/ingenieria/revista/v25n1/vol25n12018.pdf

Farías, B., Márquez, A., Guevara, E., y Rey, D. (2020). Geostatistical modeling of surface water balance (SWB) under variable soil moisture conditions in the Pao river basin, Venezuela. Dyna, 87 (213), 192-201. https://www.redalyc.org/journal/496/49664596026/49664596026.pdf

Gelfand, A., Diggle, P., Guttorp, P., y Fuentes, M. (2010). (Eds.). Handbook of spatial statistics. CRC Press.

Goovaerts, P. (2000). Geostatistical approaches for incorporating elevation into the spatial interpolation of rainfall. Journal of Hydrology, 228, 113-129. https://www.sciencedirect.com/science/article/abs/pii/S002216940000144X

Guevara, E., y Cartaya, H. (2004). Hidrología ambiental (1ra ed.) Facultad de Ingeniería de la Universidad de Carabobo.

Japan Aerospace Exploration Agency. (2008). ALOS Data Users Handbook. JAXA. https://www.eorc.jaxa.jp/ALOS/en/doc/fdata/ALOS_HB_RevC_EN.pdf

Jet Propulsion Laboratory. (2021). ASTER. Jet Propulsion Laboratory. https://asterweb.jpl.nasa.gov/

Lachassagne, P., Wyns, R., y Dewandel, B. (2011). The fracture permeability of hard rock aquifers is due neither to tectonics, nor to unloading, but to weathering processes. Terra Nova, 23 (3), 145-161.

Lambe, T., y Whitman, R. (1990). Mecánica de suelos (Nueva edición). Limusa.

Land Processes Distributed Active Archive Center (DAAC). (2011). Advanced Spaceborne Thermal Emission and Reflection Radiometer (ASTER) Global Digital Elevation Model (GDEM) Version 2. ALOS PALSAR. https://lpdaac.usgs.gov/products/astgtmv002/

López, N., Márquez, A., y Guevara, E. (2020). Change dynamics of land-use and land-cover for tropical wetland management. Water Practice and Technology. https://doi.org/10.2166/wpt.2020.049

Maréchal, J., Wyns, R., Lachassagne, P., y Subrahmanyam, K. (2004). Vertical anisotropy of hydraulic conductivity in the fissured layer of hard-rock aquifers due to the geological structure of weathering profiles. Journal of the Geological Society of India, 63 (5), 545-550.

Márquez, A., Aponte, A., y González, O. (2015). Validación de modelos de pronóstico de variables de operación del sistema de embalses del acueducto regional del centro [Tesis de pregrado]. Universidad de Carabobo. http://riuc.bc.uc.edu.ve/handle/123456789/8451

Márquez, A., y Carrillo, V. (2015). Vulnerabilidad hidrogeológica del acuífero del municipio de San Diego, estado Carabobo [Tesis de Maestría]. Universidad de Carabobo. http://www.riuc.bc.uc.edu.ve/bitstream/123456789/2420/1/vcarrillo.pdf

Márquez, A., Farías, B., y Guevara, E. (2020). Method for forecasting the flood risk in a tropical country. Water Supply. https://doi.org/10.2166/ws.2020.129

Márquez, A., Guevara, E., y Rey, D. (2018a). Spatio-temporal forecasting model of water balance variables in the San Diego Aquifer, Venezuela. Journal of Remote Sensing GIS y Technology, 4 (3). https://matjournals.co.in/index.php/JORSGT/article/view/5397

Márquez, A., Guevara, E., y Rey, D. (2018b). Spatio-temporal geostatistical modeling of hydrogeochemical parameters in the San Diego Aquifer, Venezuela. Journal of Remote Sensing GIS y Technology, 4 (3). https://matjournals.co.in/index.php/JORSGT/article/view/5395

Márquez, A., Guevara, E., y Rey, D. (2019a). Hybrid model for forecasting of changes in land use and land cover using satellite techniques. IEEE Journal of Selected Topics in Applied Earth Observations and Remote Sensing, 12 (1), 252-273. https://ieeexplore.ieee.org/abstract/document/8605374/

Márquez, A., Guevara, E., y Rey, D. (2019b). Soil and groundwater remediation proposal in an aquifer of Venezuela by hydrocarbon transport geostatistical modeling. Journal of Remote Sensing GIS y Technology, 5 (1). https://matjournals.co.in/index.php/JORSGT/article/view/5368

Márquez, A., y Padrón, M. (2011). Evaluation of the operation of the Pao-Cachinche reservoir in the period 1983–2009 [Tesis de Maestría]. Universidad de Carabobo. http://riuc.bc.uc.edu.ve/handle/123456789/8459

Meza, E., y Vargas, E. (2007). Propuesta de diseño de un sistema de comunicaciones alterno para la interconexión del sistema de radares meteorológicos a la sede del Inameh. Universidad Central de Venezuela. http://saber.ucv.ve/handle/10872/770

World Meteorological Organization. (2008). Guide to hydrometeorological practices (No. 168, 6th ed.) WMO. https://unstats.un.org/unsd/envaccounting/waterGuidelines/Material/WMO_Guide_168_Vol_I_en_hydrological_practices.pdf